ГОСТ 24964-81 Скобы непроходные для контроля внутреннего диаметра шлицевых валов с прямобочным профилем при центрировании по D или b. Конструкция и размеры
ГОСТ
Скачать ГОСТ в PDF или DOC бесплатно
Основная информация
Обозначение:
ГОСТ 24964-81
Статус:
Действует
Тип:
ГОСТ
Название русское:
Скобы непроходные для контроля внутреннего диаметра шлицевых валов с прямобочным профилем при центрировании по D или b. Конструкция и размеры
Название английское:
Not-go snap-gauges for checking internal diameter of splined shafts with straight-sided profile when centering by D or b. Design and dimensions
Даты и сроки
Дата издания:
07-01-86
Дата введения в действие:
01-01-82
Дата завершения срока действия:
-
Применение и описание
Область и условия применения:
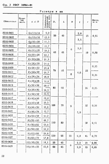
Настоящий стандарт распространяется на калибры-пробки, предназначенные для контроля внутреннего диаметра шлицевых валов с прямобочным профилем
Связи и замены
Заменяющий:
-
Взамен:
МН 2973-61
Изменения и переиздания
Список изменений:
№1 от (рег. ) «Срок действия продлен»
Описание стандарта
ГОСТ 24964-81 Скобы непроходные для контроля внутреннего диаметра шлицевых валов с прямобочным профилем при центрировании по D или b. Конструкция и размеры
Страницы стандарта



