ГОСТ 6528-53 Калибры для шлицевых валов и отверстий с эвольвентным профилем. Допуски
ГОСТ
Скачать ГОСТ в PDF или DOC бесплатно
Основная информация
Обозначение:
ГОСТ 6528-53
Статус:
Действует
Тип:
ГОСТ
Название русское:
Калибры для шлицевых валов и отверстий с эвольвентным профилем. Допуски
Название английское:
Gauges for splined shaft and holes with evolute profile. Tolerances
Даты и сроки
Дата издания:
05-01-03
Дата введения в действие:
06-30-53
Дата завершения срока действия:
-
Применение и описание
Область и условия применения:
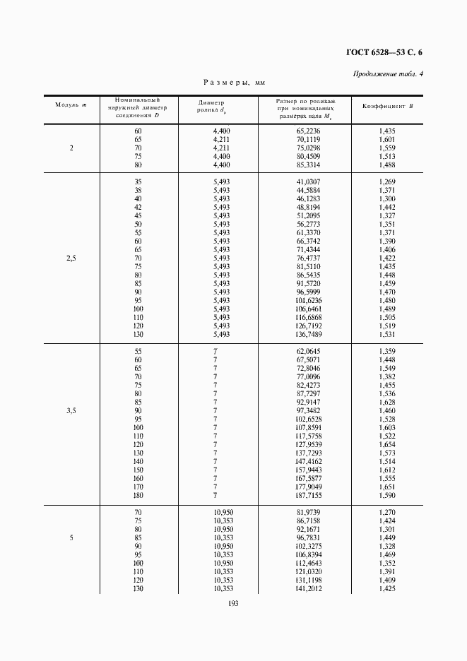
Настоящий стандарт распространяется на калибры для контроля валов и отверстий шлицевых соединений с номинальным наружным диаметром до 150 мм и с модулем до 5 мм, а также на измерительные ролики для контроля толщины зубьев валов и ширины впадин отверстий всех размеров по ГОСТ 6033-51
Связи и замены
Заменяющий:
-
Описание стандарта
ГОСТ 6528-53 Калибры для шлицевых валов и отверстий с эвольвентным профилем. Допуски
Страницы стандарта










