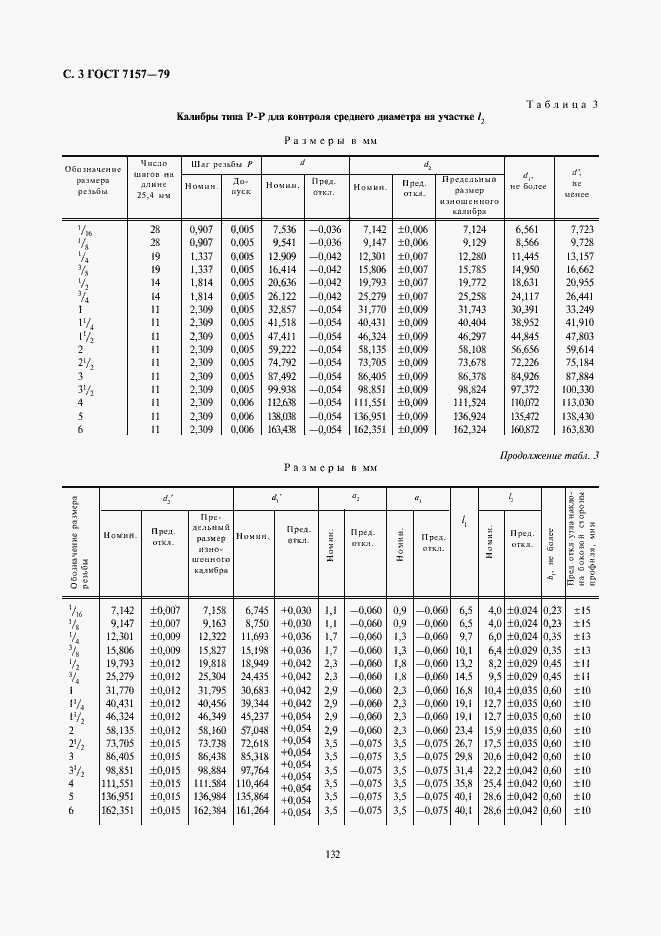
ГОСТ 7157-79 Калибры для трубной конической резьбы. Типы. Основные размеры и допуски
ГОСТ
Скачать ГОСТ в PDF или DOC бесплатно
Основная информация
Обозначение:
ГОСТ 7157-79
Статус:
Действует
Тип:
ГОСТ
Название русское:
Калибры для трубной конической резьбы. Типы. Основные размеры и допуски
Название английское:
Gauges for pine taper thread. Types. Basic dimensions and tolerances
Даты и сроки
Дата издания:
07-01-03
Дата введения в действие:
01-01-81
Дата завершения срока действия:
-
Применение и описание
Область и условия применения:
Настоящий стандарт распространяется на калибры для контроля трубной конической резьбы
Связи и замены
Заменяющий:
-
Взамен:
ГОСТ 7157-69
Изменения и переиздания
Список изменений:
№1 от (рег. ) «Срок действия продлен»
Описание стандарта
ГОСТ 7157-79 Калибры для трубной конической резьбы. Типы. Основные размеры и допуски
Страницы стандарта











