ГОСТ 25346-2013 Основные нормы взаимозаменяемости. Характеристики изделий геометрические. Система допусков на линейные размеры. Основные положения, допуски, отклонения и посадки
ГОСТ
Скачать ГОСТ в PDF или DOC бесплатно
Основная информация
Обозначение:
ГОСТ 25346-2013
Статус:
Действует
Тип:
ГОСТ
Название русское:
Основные нормы взаимозаменяемости. Характеристики изделий геометрические. Система допусков на линейные размеры. Основные положения, допуски, отклонения и посадки
Название английское:
Basic norms of interchangeability. Geometrical product specifications. Сode system for tolerances on linear sizes. General provisions, tolerances, deviations and fits
Даты и сроки
Дата регистрации:
11-14-13
Дата издания:
12-09-19
Дата введения в действие:
07-01-15
Дата завершения срока действия:
-
Применение и описание
Область и условия применения:
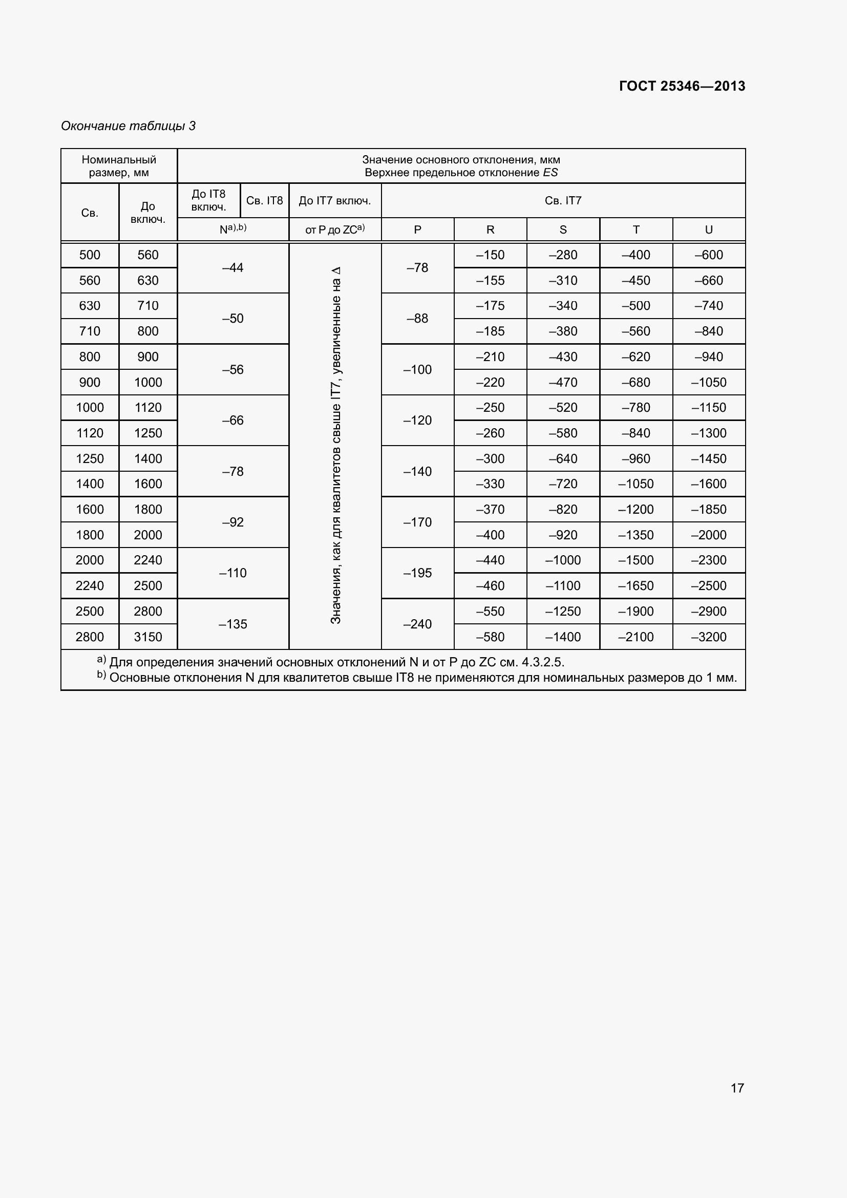
Настоящий стандарт устанавливает систему допусков ИСО на линейные размеры следующих геометрических элементов: a) цилиндр; b) две параллельные противолежащие плоскости. В стандарте изложены основные положения и терминология, относящиеся к этой системе допусков и приведены классы допусков предпочтительного применения. Стандарт также содержит термины и определения, относящиеся к посадкам, образуемым двумя размерными элементами, без ограничения ориентации и месторасположения этих элементов, и поясняет понятия «основной вал» и «основное отверстие»
Связи и замены
Заменяющий:
-
Взамен:
ГОСТ 25346-89
Описание стандарта
ГОСТ 25346-2013 Основные нормы взаимозаменяемости. Характеристики изделий геометрические. Система допусков на линейные размеры. Основные положения, допуски, отклонения и посадки
Страницы стандарта











































Приложение №1: Поправка к ГОСТ 25346-2013 Обозначение: Поправка к ГОСТ 25346-2013 Дата введения в действие: 27.12.2021
