ГОСТ Р 53440-2009 Основные нормы взаимозаменяемости. Характеристики изделий геометрические. Нормальные конусности и углы конусов
ГОСТ Р
Скачать ГОСТ в PDF или DOC бесплатно
Основная информация
Обозначение:
ГОСТ Р 53440-2009
Статус:
Действует
Тип:
ГОСТ Р
Название русское:
Основные нормы взаимозаменяемости. Характеристики изделий геометрические. Нормальные конусности и углы конусов
Название английское:
Basic norms of interchangeability. Geometrical product specifications. Standard rates of taper and cone angles
Даты и сроки
Дата издания:
12-04-19
Дата введения в действие:
01-01-12
Дата завершения срока действия:
-
Применение и описание
Область и условия применения:
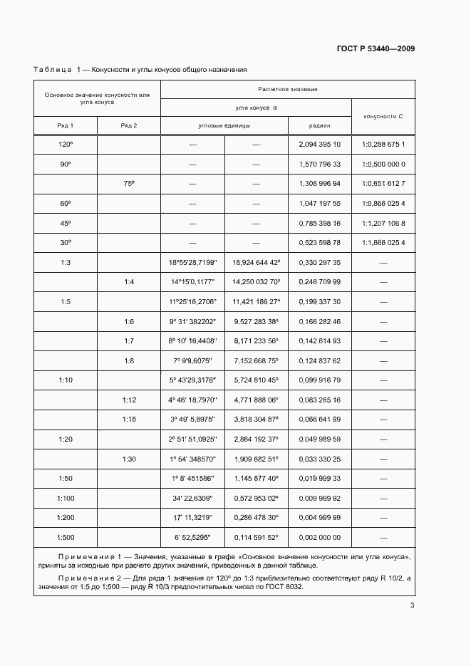
Настоящий стандарт распространяется на применяемые в машиностроении конусности и углы конусов гладких конических элементов деталей и устанавливает ряды нормальных конусностей от 1:0,289 до 1:500 и углов конусов от 0,114 град. до 120 град. Настоящий стандарт не распространяется на конусности и углы конусов, связанные расчетными зависимостями с другими принятыми размерами, негладкие конические элементы деталей (призматические элементы, конические резьбы, конические зубчатые передачи и т.д). Правила указания размеров и допусков конических поверхностей на чертежах согласно ГОСТ 2.320
Связи и замены
Заменяющий:
-
Описание стандарта
ГОСТ Р 53440-2009 Основные нормы взаимозаменяемости. Характеристики изделий геометрические. Нормальные конусности и углы конусов
Страницы стандарта










