ГОСТы >
01.040.03 Услуги. Организация фирм, управление ими и качество. Администрация. Транспорт. Социология (Словари) >
ГОСТ Р 50779.10-2000
ГОСТ Р 50779.10-2000 Статистические методы. Вероятность и основы статистики. Термины и определения
ГОСТ Р
Скачать ГОСТ в PDF или DOC бесплатно
Основная информация
Обозначение:
ГОСТ Р 50779.10-2000
Статус:
Заменен
Тип:
ГОСТ Р
Название русское:
Статистические методы. Вероятность и основы статистики. Термины и определения
Название английское:
Statistical methods. Probability and general statistical terms. Terms and definitions
Даты и сроки
Дата издания:
04-01-08
Дата введения в действие:
07-01-01
Дата завершения срока действия:
01-01-20
Применение и описание
Область и условия применения:
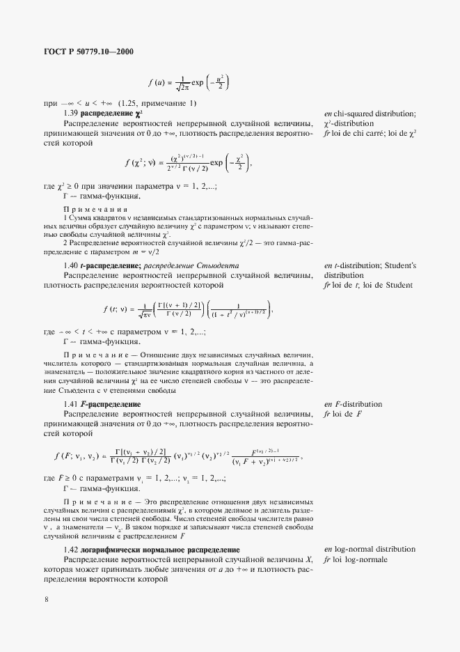
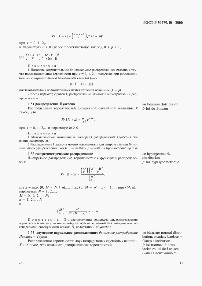
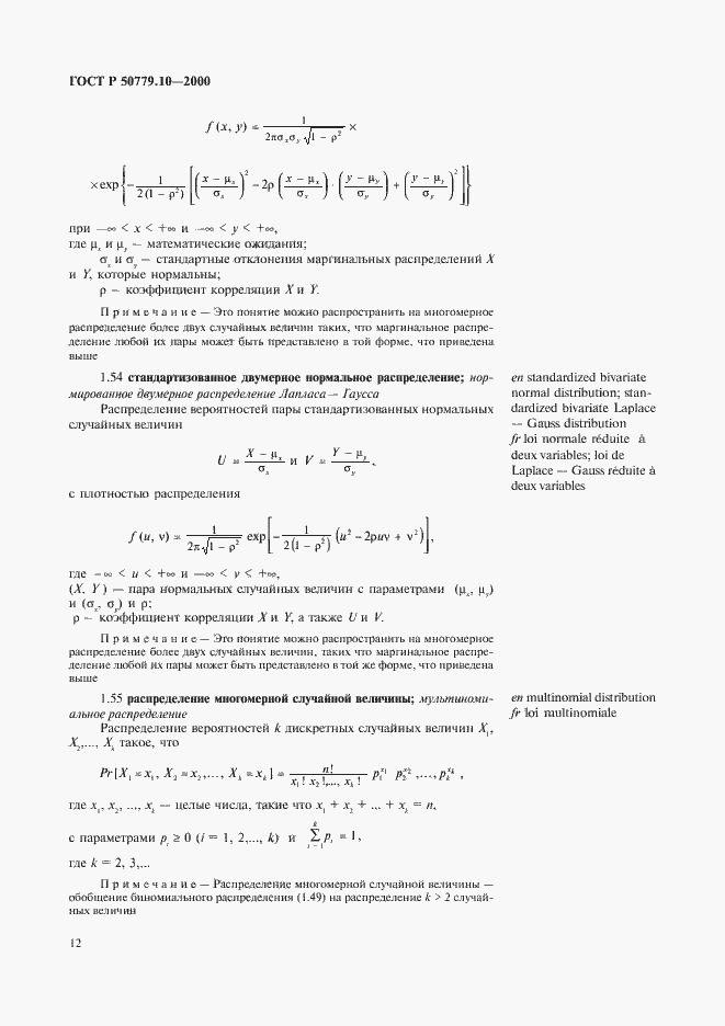
Настоящий стандарт устанавливает термины и определения понятий в области теории вероятностей и математической статистики
Связи и замены
Заменяющий:
ГОСТ Р ИСО 3534-1-2019
Описание стандарта
ГОСТ Р 50779.10-2000 Статистические методы. Вероятность и основы статистики. Термины и определения
Страницы стандарта













































