ГОСТ 8.346-79 Государственная система обеспечения единства измерений. Резервуары стальные горизонтальные. Методы и средства поверки
ГОСТ
Скачать ГОСТ в PDF или DOC бесплатно
Основная информация
Обозначение:
ГОСТ 8.346-79
Статус:
Заменен
Тип:
ГОСТ
Название русское:
Государственная система обеспечения единства измерений. Резервуары стальные горизонтальные. Методы и средства поверки
Название английское:
State system for ensuring the uniformity of measurements. Steel horisontal tanks. Methods and means of verification
Даты и сроки
Дата издания:
09-01-83
Дата введения в действие:
01-01-81
Дата завершения срока действия:
01-01-02
Применение и описание
Область и условия применения:
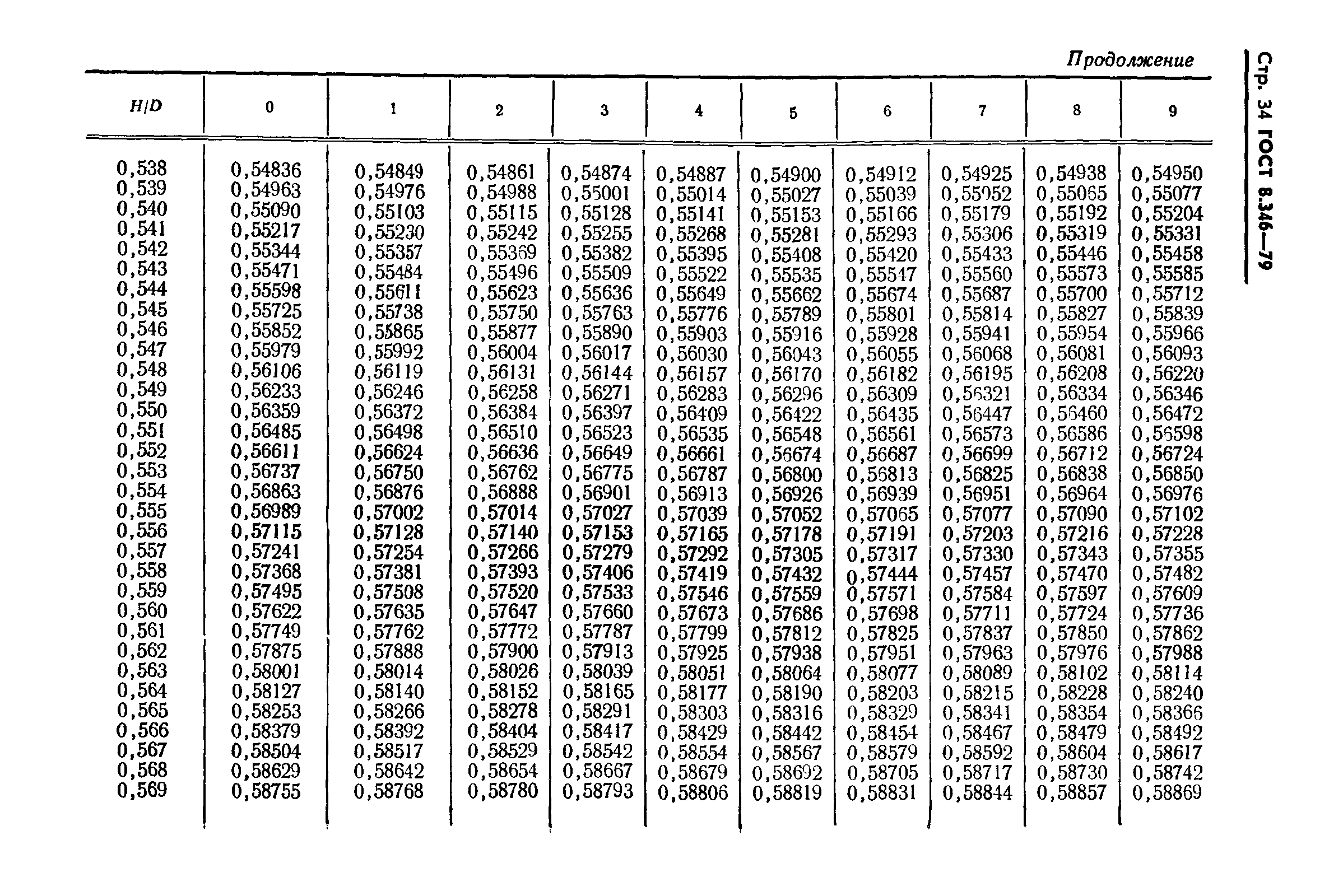
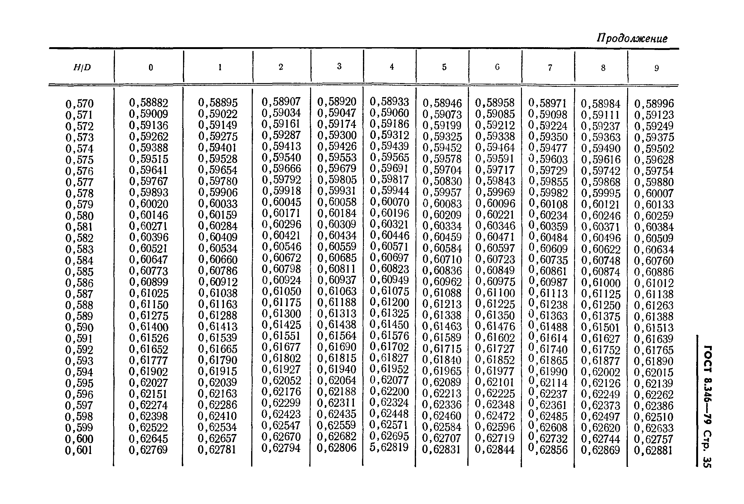
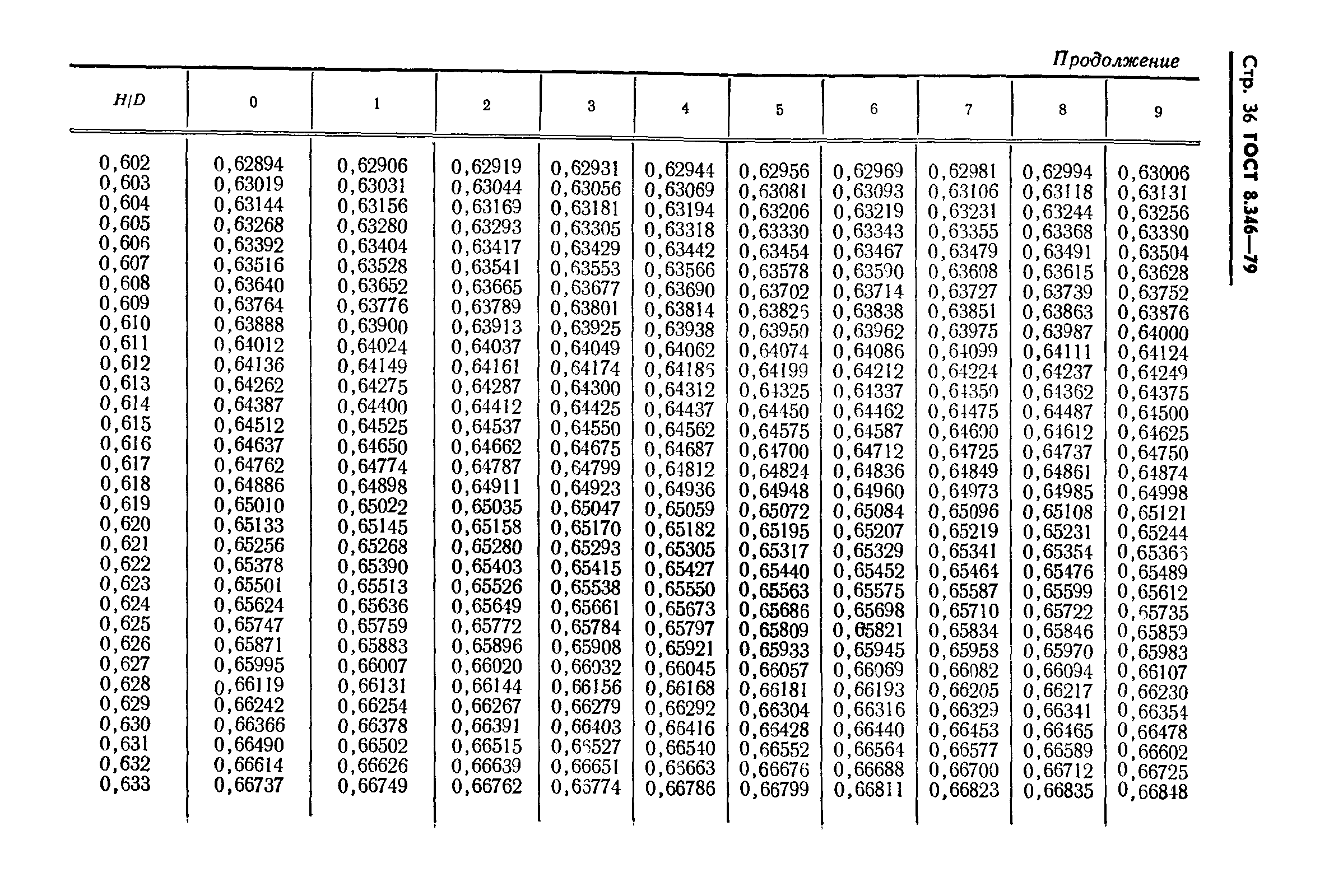
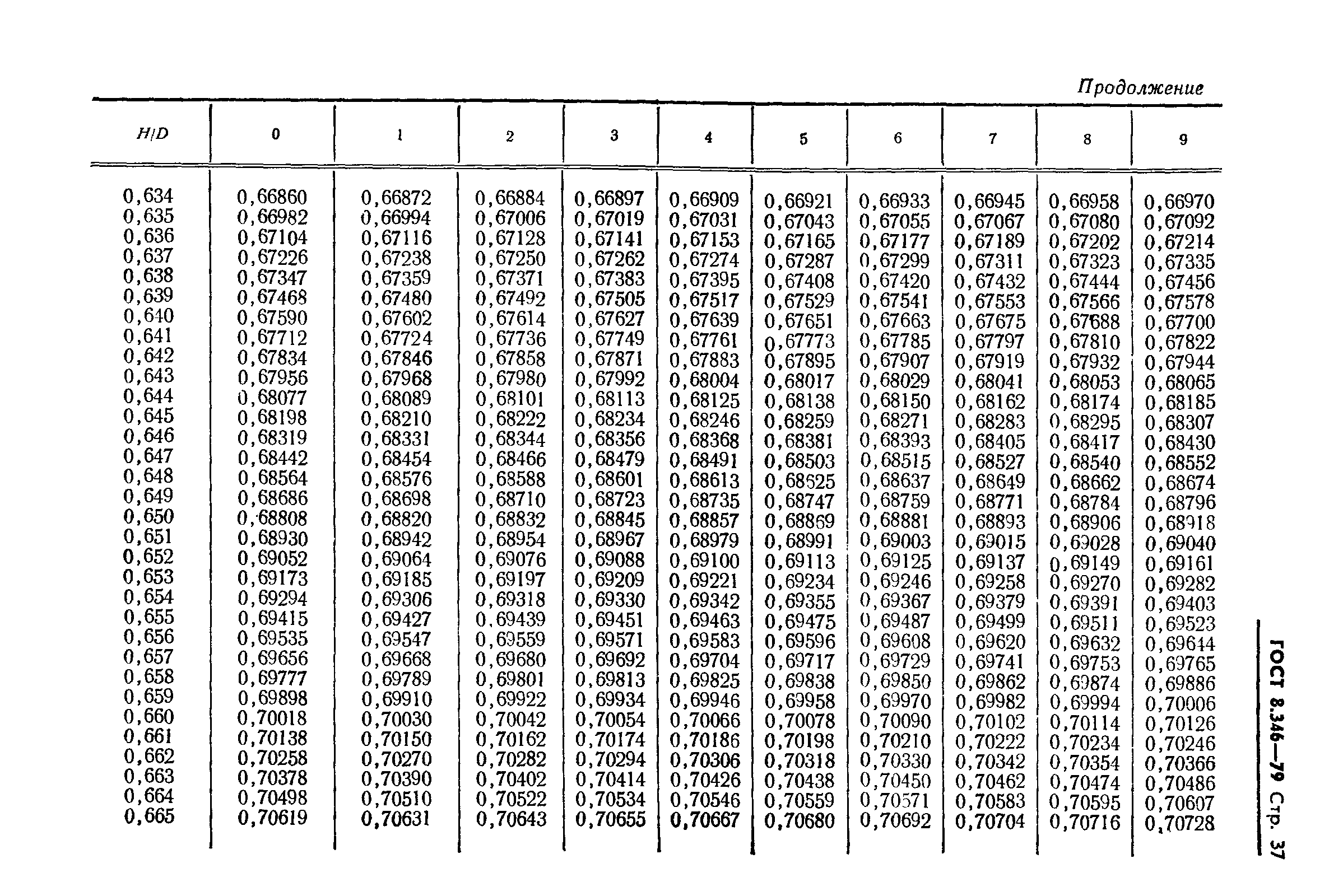
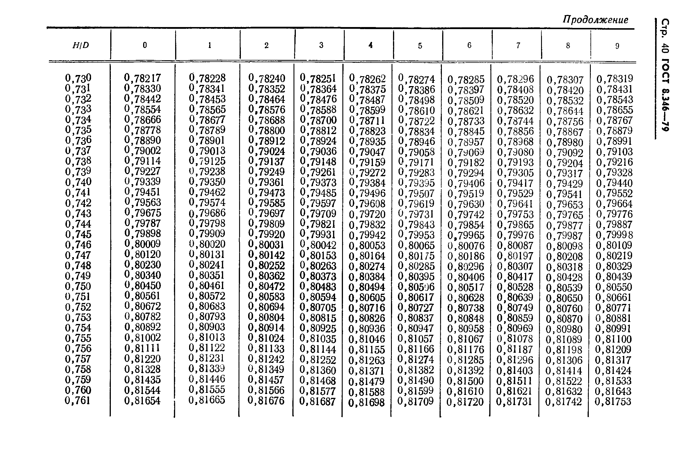
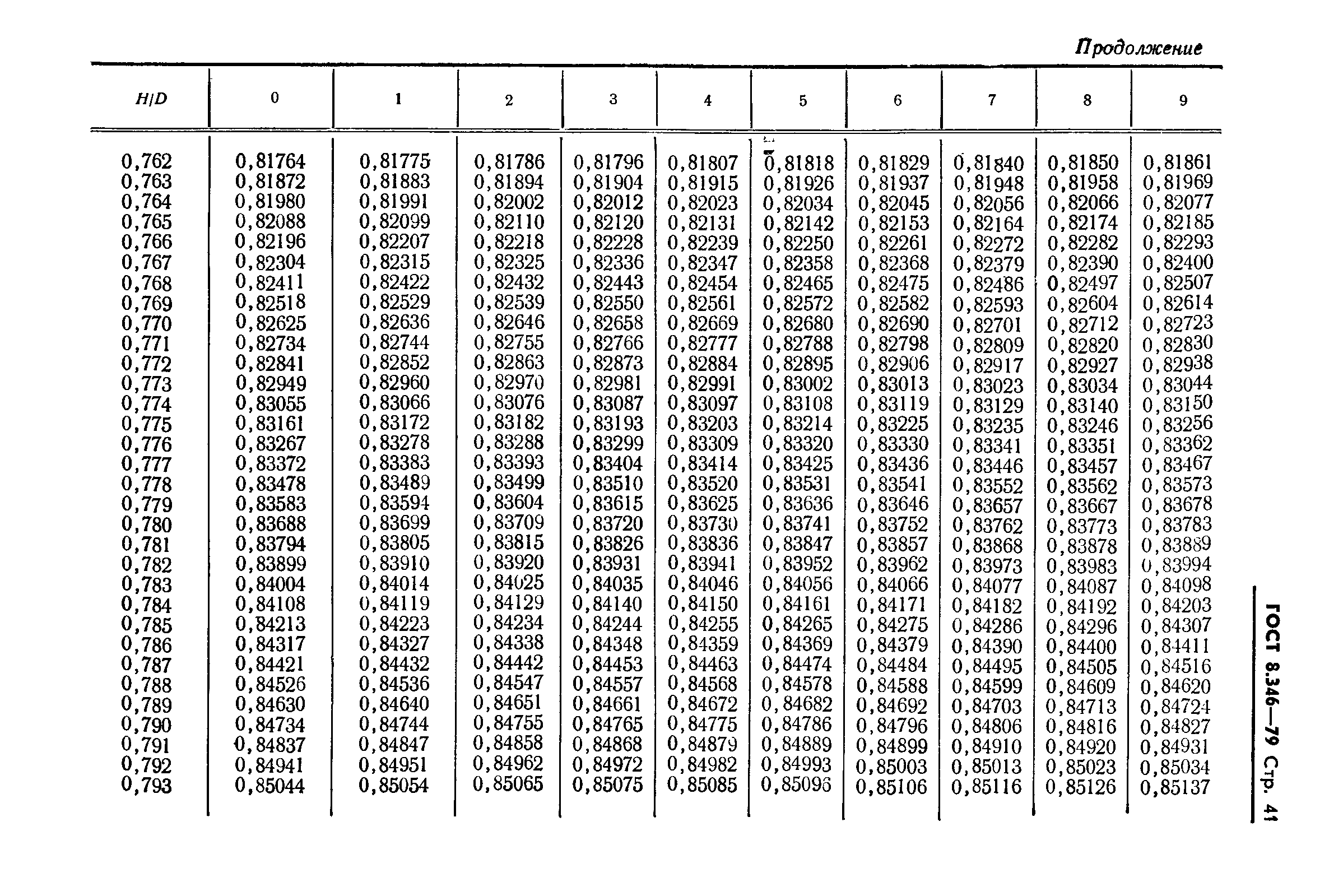
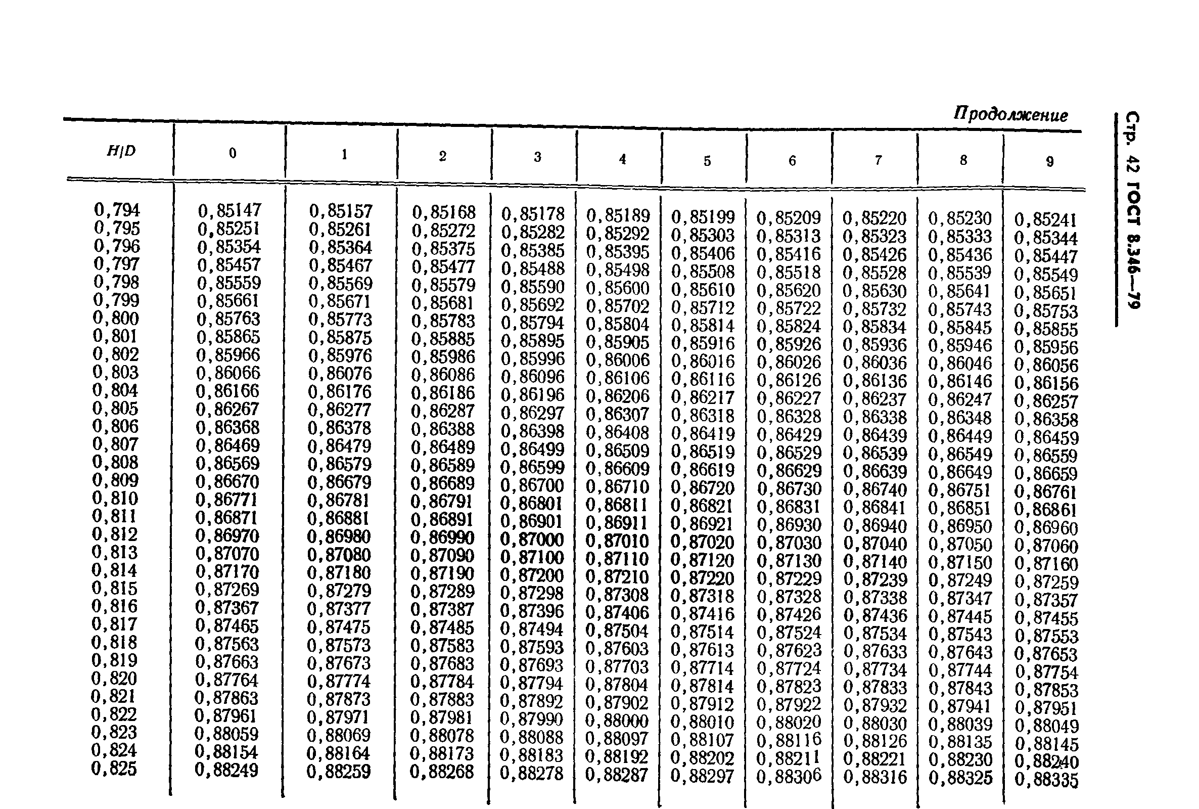
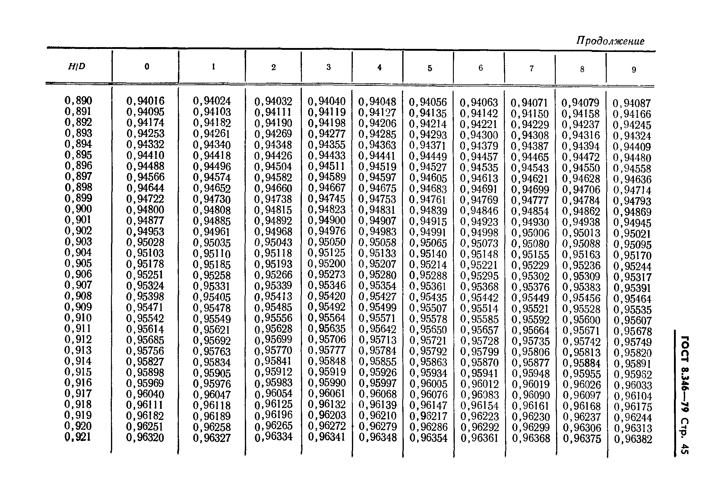
Настоящий стандарт распространяется на стальные горизонтальные цилиндрические резервуары вместимостью 3-200 куб. м для нефти и нефтепродуктов, выпускаемые по параметрам ГОСТ 17032-71, и устанавливает методы и средства определения их вместимости и градуировки
Связи и замены
Заменяющий:
ГОСТ 8.346-2000
Взамен:
МУ 149
Изменения и переиздания
Список изменений:
№1 от (рег. ) «Срок действия продлен»
Описание стандарта
ГОСТ 8.346-79 Государственная система обеспечения единства измерений. Резервуары стальные горизонтальные. Методы и средства поверки
Страницы стандарта















































































