ГОСТ Р 8.1021-2023 Государственная система обеспечения единства измерений. Влажный водород. Термодинамические свойства в диапазоне температур от 200 до 400 К, давлений от 0,1 до 10 МПа и относительной влажности от 0,2 до 1,0
ГОСТ Р
Скачать ГОСТ в PDF или DOC бесплатно
Основная информация
Обозначение:
ГОСТ Р 8.1021-2023
Статус:
Действует
Тип:
ГОСТ Р
Название русское:
Государственная система обеспечения единства измерений. Влажный водород. Термодинамические свойства в диапазоне температур от 200 до 400 К, давлений от 0,1 до 10 МПа и относительной влажности от 0,2 до 1,0
Название английское:
State system for ensuring the uniformity of measurements. Moist hydrogen. Thermodynamic properties at temperatures from 200 to 400 K, pressures from 0,1 to 10 MPa and relative moisture from 0,2 to 1,0
Даты и сроки
Дата издания:
02-13-23
Дата введения в действие:
12-01-23
Дата завершения срока действия:
-
Применение и описание
Область и условия применения:
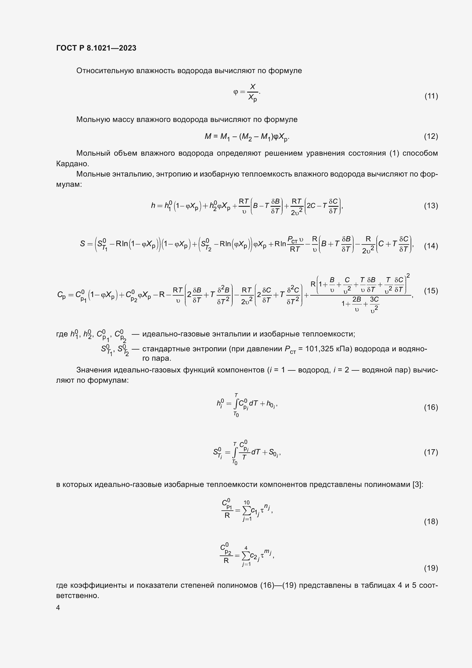
Настоящий стандарт распространяется на влажный водород с мольной концентрацией водяного пара не менее 0,1 %
Связи и замены
Заменяющий:
-
Описание стандарта
ГОСТ Р 8.1021-2023 Государственная система обеспечения единства измерений. Влажный водород. Термодинамические свойства в диапазоне температур от 200 до 400 К, давлений от 0,1 до 10 МПа и относительной влажности от 0,2 до 1,0
Страницы стандарта



























