ГОСТ 8.451-81 Государственная система обеспечения единства измерений. Счетчики жидкости камерные. Методы и средства поверки
ГОСТ
Скачать ГОСТ в PDF или DOC бесплатно
Основная информация
Обозначение:
ГОСТ 8.451-81
Статус:
Заменен
Тип:
ГОСТ
Название русское:
Государственная система обеспечения единства измерений. Счетчики жидкости камерные. Методы и средства поверки
Название английское:
State system of ensuring the uniformity of measurements. Positive displacement liquid meters. Methods and means for verification
Даты и сроки
Дата издания:
03-25-82
Дата введения в действие:
01-01-83
Дата завершения срока действия:
09-01-24
Применение и описание
Область и условия применения:
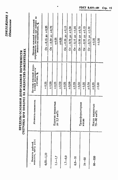
Настоящий стандарт распространяется на камерные счетчики жидкости по ГОСТ 12671-81 и ГОСТ 22548-77 и устанавливает методы и средства их первичной и периодической поверок. Стандарт распространяется также на счетчики, изготовленные до срока введения в действие ГОСТ 12671-81 и ГОСТ 22548-77, и счетчики, изготовленные по ГОСТ 14684-69, и импортные, метрологические характеристики которых соответствуют требованиям указанных выше стандартов
Связи и замены
Заменяющий:
ГОСТ 8.451-2024
Взамен:
ГОСТ 13532-68;МУ 219
Описание стандарта
ГОСТ 8.451-81 Государственная система обеспечения единства измерений. Счетчики жидкости камерные. Методы и средства поверки
Страницы стандарта





















