ГОСТ 8.464-82 Государственная система обеспечения единства измерений. Расход газа массовый. Расчетные зависимости косвенных методов измерений
ГОСТ
Скачать ГОСТ в PDF или DOC бесплатно
Основная информация
Обозначение:
ГОСТ 8.464-82
Статус:
Действует
Тип:
ГОСТ
Название русское:
Государственная система обеспечения единства измерений. Расход газа массовый. Расчетные зависимости косвенных методов измерений
Название английское:
State system for ensuring the uniformity of measurements. Gas mass flow rate. Calculated relations of indirect methods of measurements
Даты и сроки
Дата издания:
09-15-86
Дата введения в действие:
06-30-83
Дата завершения срока действия:
-
Применение и описание
Область и условия применения:
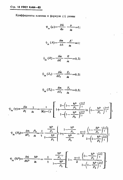
Настоящий стандарт устанавливает комплекс расчетных зависимостей между массовым расходом стационарного изоэнтропического энергоизолированного однофазного потока газа, термогазодинамическими параметрами, параметрами состояния, физическими константами, эмпирическими коэффициентами и геометрическими размерами проточных каналов, а также требования к порядку получения исходных формул для оценки погрешности измерения массового расхода. Настоящий стандарт обязателен для применения при разработке средств измерений массового расхода газа, регламентированных к использованию ГОСТ 8.369-79, соответствующих стандартов методик выполнения измерений и нормативно-технических документов на методы и средства поверки. Расчетные зависимости для массового расхода газа, регламентированные настоящим стандартом, могут быть преобразованы в расчетные зависимости для объемного расхода газа, приведенного к нормальным условиям, установленным ГОСТ 2939-63. С этой целью зависимости для массового расхода газа делят на плотность газа при нормальных условиях Qн или на уравнение, выражающее эту плотность газа через давление, температуру, газовую постоянную и коэффициент сжимаемости Qн = Рн/ZнRTн
Связи и замены
Заменяющий:
-
Описание стандарта
ГОСТ 8.464-82 Государственная система обеспечения единства измерений. Расход газа массовый. Расчетные зависимости косвенных методов измерений
Страницы стандарта





















