ГОСТ 8.563.3-97 Государственная система обеспечения единства измерений. Измерение расхода и количества жидкостей и газов методом переменного перепада давления. Процедура и модуль расчетов. Программное обеспечение
ГОСТ
Скачать ГОСТ в PDF или DOC бесплатно
Основная информация
Обозначение:
ГОСТ 8.563.3-97
Статус:
Отменен
Тип:
ГОСТ
Название русское:
Государственная система обеспечения единства измерений. Измерение расхода и количества жидкостей и газов методом переменного перепада давления. Процедура и модуль расчетов. Программное обеспечение
Название английское:
State system for ensuring the uniformity of measurements. Measurement of liquids and gases flow rate and quantity by differential pressure method. Procedure and module of calculations. Software
Даты и сроки
Дата регистрации:
04-25-97
Дата издания:
08-27-98
Дата введения в действие:
10-01-99
Дата завершения срока действия:
01-01-07
Применение и описание
Область и условия применения:
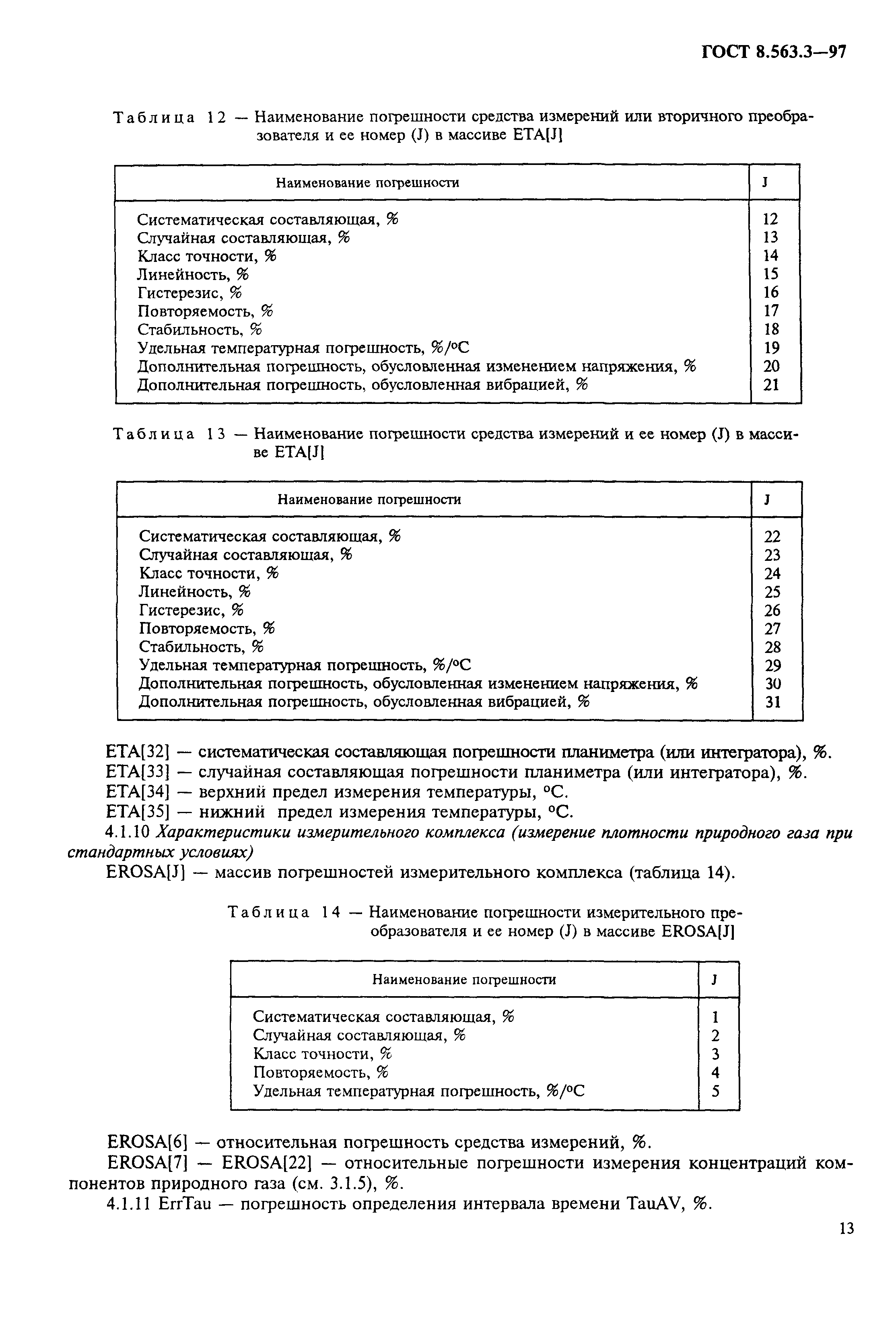
Настоящий стандарт устанавливает программное обеспечение расчета расхода и количества жидкостей и газов, а также расчета погрешностей определения расхода и количества сред
Связи и замены
Заменяющий:
-
Взамен в части:
ГОСТ 23720-79 (части не конкретизированы); ГОСТ 26969-86 (части не конкретизированы); МИ 2204-92 (части не конкретизированы); МИ 2346-95 (части не конкретизированы); РД 50-213-80 (части не конкретизированы)
Изменения и переиздания
Список изменений:
№0 от (рег. ) «Утратил силу в РФ» №0 от (рег. ) «Утратил силу в РФ» №0 от (рег. ) «Текстовое изменение; Изменено заглавие»
Описание стандарта
ГОСТ 8.563.3-97 Государственная система обеспечения единства измерений. Измерение расхода и количества жидкостей и газов методом переменного перепада давления. Процедура и модуль расчетов. Программное обеспечение
Страницы стандарта












































