ГОСТ 17187-2010 Шумомеры. Часть 1. Технические требования
ГОСТ
Скачать ГОСТ в PDF или DOC бесплатно
Основная информация
Обозначение:
ГОСТ 17187-2010
Статус:
Утратил силу в РФ
Тип:
ГОСТ
Название русское:
Шумомеры. Часть 1. Технические требования
Название английское:
Sound level meters. Part 1. Technical requirements
Даты и сроки
Дата регистрации:
06-10-10
Дата издания:
10-02-12
Дата введения в действие:
11-01-12
Дата завершения срока действия:
12-01-19
Применение и описание
Область и условия применения:
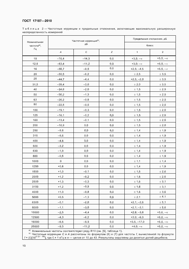
Настоящий стандарт устанавливает требования к электроакустическим характеристикам для приборов трех видов, предназначенных для измерения звука: - обычные шумомеры, которые измеряют уровень звука с экспоненциальной временной коррекцией; - интегрирующие-усредняющие шумомеры, которые измеряют линейно усредненный по времени уровень звука; - интегрирующие шумомеры, которые измеряют уровень звукового воздействия. Отдельный прибор может выполнять любой или все из указанных видов измерений. Дополнительные технические требования приведены для измерений максимального уровня звука с временной коррекцией и пикового корректированного по С уровня звука. Шумомеры, удовлетворяющие требованиям настоящего стандарта, должны иметь частотную характеристику А
Связи и замены
Заменяющий:
-
Взамен в части:
ГОСТ 17187-81 в части технических требований
Описание стандарта
ГОСТ 17187-2010 Шумомеры. Часть 1. Технические требования
Страницы стандарта



































