ГОСТ Р 53571-2009 Акустика. Шум, производимый на стрельбищах. Часть 2. Определение акустических характеристик дульной волны и звука пули путем расчета
ГОСТ Р
Скачать ГОСТ в PDF или DOC бесплатно
Основная информация
Обозначение:
ГОСТ Р 53571-2009
Статус:
Действует
Тип:
ГОСТ Р
Название русское:
Акустика. Шум, производимый на стрельбищах. Часть 2. Определение акустических характеристик дульной волны и звука пули путем расчета
Название английское:
Acoustics. Noise from shooting ranges. Part 2. Estimation acoustic characteristics of muzzle blast and projectile sound by calculation
Даты и сроки
Дата издания:
12-09-19
Дата введения в действие:
12-01-10
Дата завершения срока действия:
-
Применение и описание
Область и условия применения:
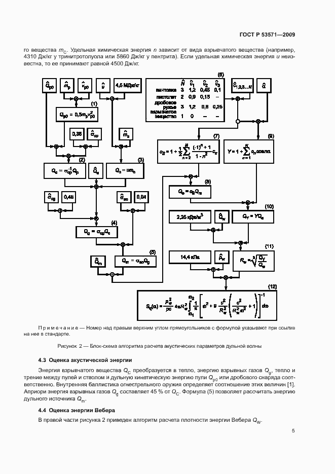
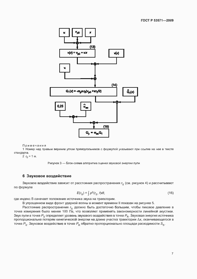
Настоящий стандарт устанавливает метод расчета акустических характеристик дульной волны, а также звука пули по параметрам огнестрельного оружия калибром менее 20 мм с зарядами, тротиловый эквивалент которых менее 50 г. Настоящий стандарт применяют, если отсутствуют данные измерений источника звука или неизвестны данные для расчета звука пули по ГОСТ Р 53572. Примером является определение дробового облака при выстреле из дробового ружья. Настоящий стандарт может применяться для интерполяции результатов измерений дульной волны. В качестве характеристики источника звука взят спектр углового распределения звуковой энергии в диапазоне частот от 12,5 Гц до 10 кГц. Его можно использовать для расчета распространения звука на местности
Связи и замены
Заменяющий:
-
Описание стандарта
ГОСТ Р 53571-2009 Акустика. Шум, производимый на стрельбищах. Часть 2. Определение акустических характеристик дульной волны и звука пули путем расчета
Страницы стандарта



























