ГОСТ 25275-82 Система стандартов по вибрации. Приборы для измерения вибрации вращающихся машин. Общие технические требования
ГОСТ
Скачать ГОСТ в PDF или DOC бесплатно
Основная информация
Обозначение:
ГОСТ 25275-82
Статус:
Действует
Тип:
ГОСТ
Название русское:
Система стандартов по вибрации. Приборы для измерения вибрации вращающихся машин. Общие технические требования
Название английское:
Standards system on vibration. Devices for measuring the vibration of rotary machines. General technical requirements
Даты и сроки
Дата издания:
12-01-93
Дата введения в действие:
06-30-83
Дата завершения срока действия:
-
Применение и описание
Область и условия применения:
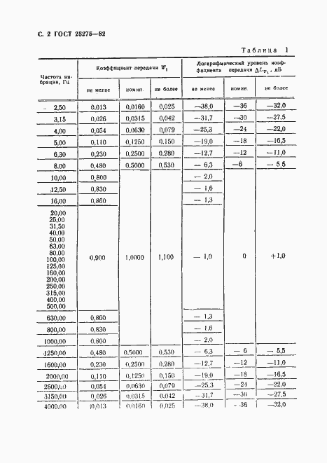
Настоящий стандарт распространяется на приборы для измерения вибрации корпусов и опор подшипников вращающихся машин с частотой вращения 10-200 с в ст. минус один, а также на элементы виброизмерительных приборов. Настоящий стандарт не распространяется на контрольно-сигнальные устройства
Связи и замены
Заменяющий:
-
Описание стандарта
ГОСТ 25275-82 Система стандартов по вибрации. Приборы для измерения вибрации вращающихся машин. Общие технические требования
Страницы стандарта










