ГОСТ ИСО 10817-1-2002 Вибрация. Системы измерений вибрации вращающихся валов. Часть 1. Устройства для снятия сигналов относительной и абсолютной вибрации
ГОСТ ИСО
Скачать ГОСТ в PDF или DOC бесплатно
Основная информация
Обозначение:
ГОСТ ИСО 10817-1-2002
Статус:
Действует
Тип:
ГОСТ ИСО
Название русское:
Вибрация. Системы измерений вибрации вращающихся валов. Часть 1. Устройства для снятия сигналов относительной и абсолютной вибрации
Название английское:
Vibration. Rotating shaft vibration measuring systems. Part 1. Relative and absolute sensing of radial vibration
Даты и сроки
Дата регистрации:
05-30-02
Дата издания:
11-07-07
Дата введения в действие:
11-01-07
Применение и описание
Область и условия применения:
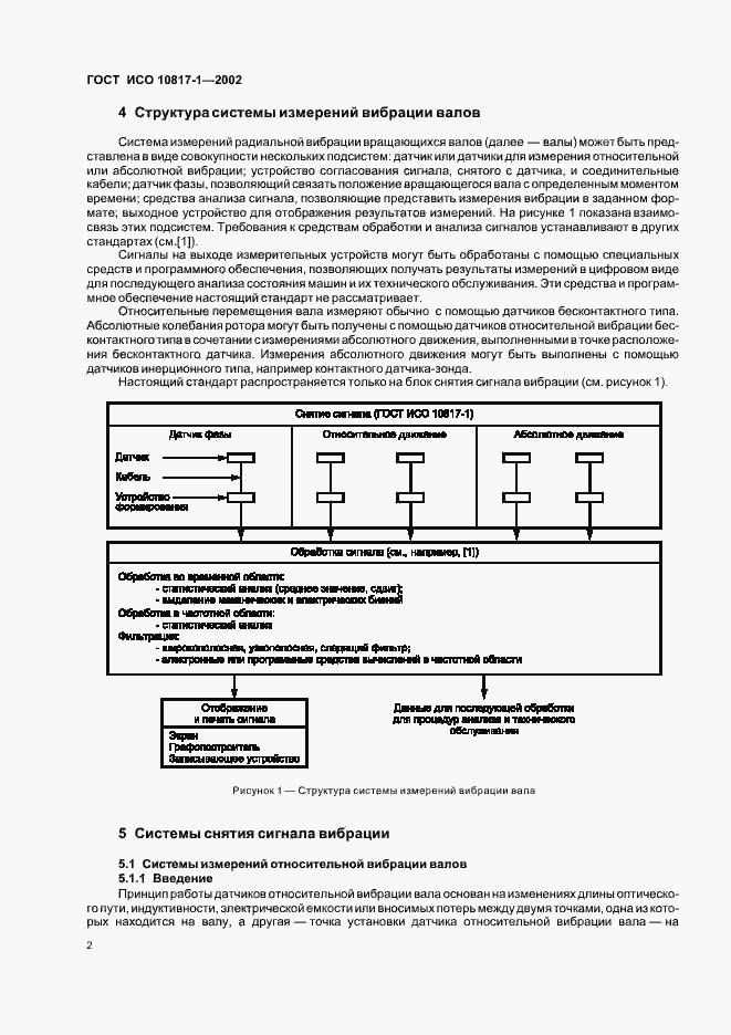
Настоящий стандарт устанавливает требования к устройствам снятия сигналов радиальной вибрации, как абсолютной так и относительной, вращающихся валов (датчикам вибрации и устройствам согласования), методам крепления и процедурам калибровки
Описание стандарта
ГОСТ ИСО 10817-1-2002 Вибрация. Системы измерений вибрации вращающихся валов. Часть 1. Устройства для снятия сигналов относительной и абсолютной вибрации
Страницы стандарта


















