ГОСТ Р 55855-2013 Автомобильные транспортные средства. Методы измерения и оценки общей вибрации
ГОСТ Р
Скачать ГОСТ в PDF или DOC бесплатно
Основная информация
Обозначение:
ГОСТ Р 55855-2013
Статус:
Действует
Тип:
ГОСТ Р
Название русское:
Автомобильные транспортные средства. Методы измерения и оценки общей вибрации
Название английское:
Motor vehicles. Methods of measurement and evaluation of general vibrations
Даты и сроки
Дата издания:
10-03-19
Дата введения в действие:
09-01-14
Дата завершения срока действия:
-
Применение и описание
Область и условия применения:
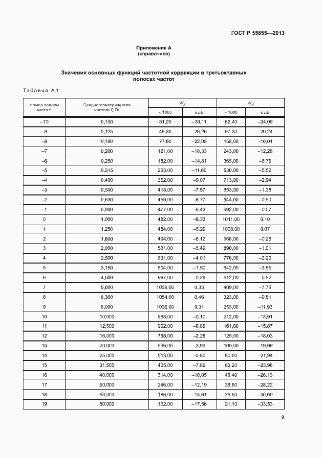
Настоящий стандарт распространяется на автомобильные транспортные средства категорий М1, М2, М3, N1, N2, N3 по ГОСТ Р 52051 и устанавливает метод определения и оценки общей вибрации, которая воздействует на водителя и пассажиров, сидящих на сиденьях или лежащих на носилках в случае перевозки больных при движении
Связи и замены
Заменяющий:
-
Описание стандарта
ГОСТ Р 55855-2013 Автомобильные транспортные средства. Методы измерения и оценки общей вибрации
Страницы стандарта














