ГОСТ Р ИСО 6954-2009 Вибрация. Руководство по измерению вибрации и оценке ее воздействия на человека на пассажирских и торговых судах
ГОСТ Р ИСО
Скачать ГОСТ в PDF или DOC бесплатно
Основная информация
Обозначение:
ГОСТ Р ИСО 6954-2009
Статус:
Заменен
Тип:
ГОСТ Р ИСО
Название русское:
Вибрация. Руководство по измерению вибрации и оценке ее воздействия на человека на пассажирских и торговых судах
Название английское:
Vibration. Guidelines for the measurement and evaluation of vibration with regard to habitability on passenger and merchant ships
Даты и сроки
Дата издания:
04-23-19
Дата введения в действие:
01-01-11
Дата завершения срока действия:
12-01-23
Применение и описание
Область и условия применения:
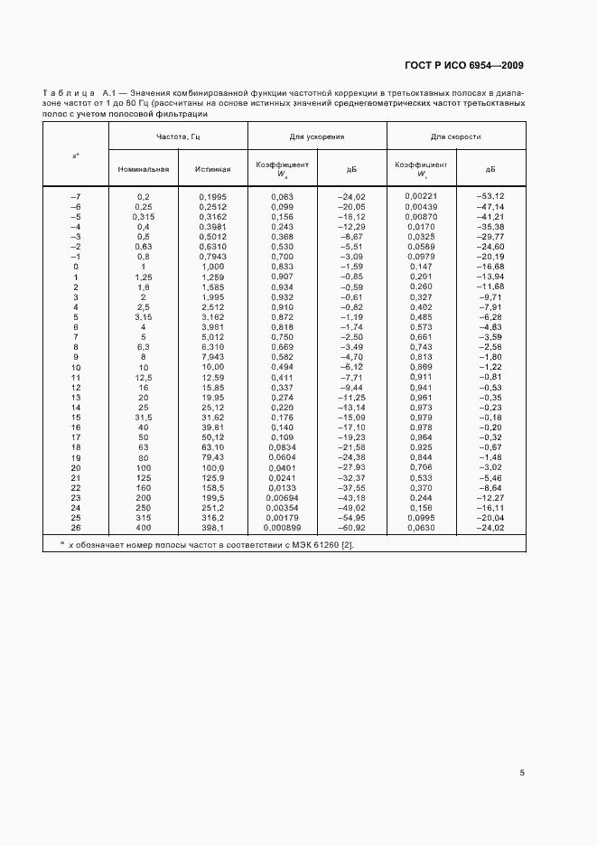
Настоящий стандарт устанавливает руководство по оценке вибрации с точки зрения условий обитания (степени комфорта) на пассажирских и торговых судах, а также требования к средствам и методам измерения вибрации в местах постоянного нахождения пассажиров и экипажа. Настоящий стандарт не распространяется на оценку низкочастотной вибрации, которая может служить причиной морской болезни
Связи и замены
Заменяющий:
ГОСТ Р ИСО 20283-5-2023
Описание стандарта
ГОСТ Р ИСО 6954-2009 Вибрация. Руководство по измерению вибрации и оценке ее воздействия на человека на пассажирских и торговых судах
Страницы стандарта















