ГОСТ Р ИСО 18129-2016 Контроль состояния и диагностика машин. Подходы к контролю состояния машин по показателям их производительности
ГОСТ Р ИСО
Скачать ГОСТ в PDF или DOC бесплатно
Основная информация
Обозначение:
ГОСТ Р ИСО 18129-2016
Статус:
Действует
Тип:
ГОСТ Р ИСО
Название русское:
Контроль состояния и диагностика машин. Подходы к контролю состояния машин по показателям их производительности
Название английское:
Condition monitoring and diagnostics of machines. Approaches to condition monitoring of machines for performance diagnosis
Даты и сроки
Дата издания:
04-05-19
Дата введения в действие:
12-01-17
Дата завершения срока действия:
-
Применение и описание
Область и условия применения:
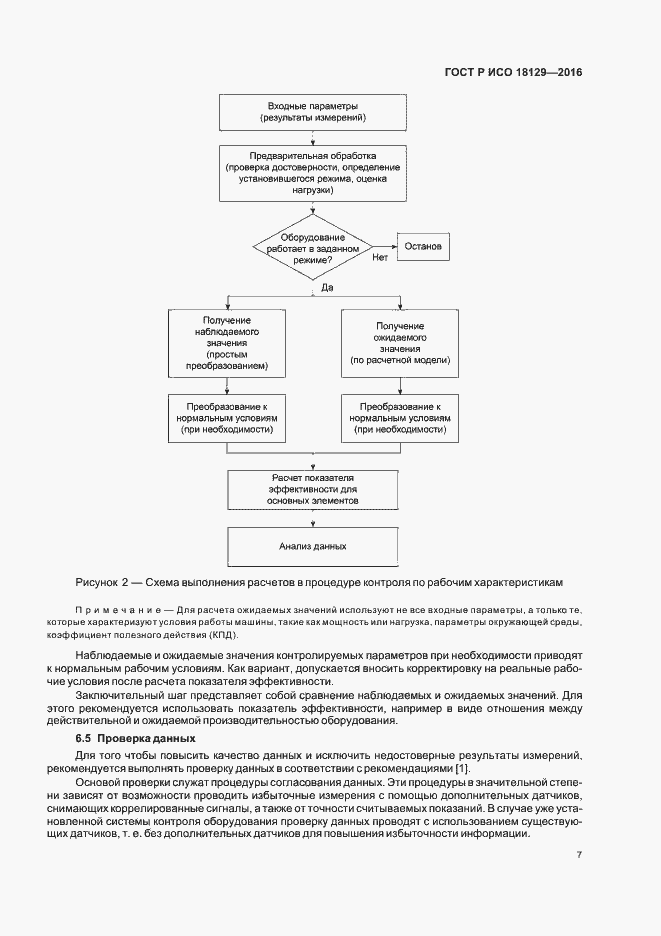
Настоящий стандарт устанавливает общие принципы применения контроля рабочих характеристик машин, машинных агрегатов и комплексов в течение всего срока их эксплуатации. В качестве рабочих характеристик рассматриваются те, которые определяют показатели производительности (эффективности работы) оборудования. Настоящий стандарт устанавливает методы испытаний систем контроля рабочих характеристик оборудования с целью оценки точности системы и применяемых в ней процедур (включая предоставление данных для сопоставительного анализа рабочих характеристик оборудования)
Связи и замены
Заменяющий:
-
Описание стандарта
ГОСТ Р ИСО 18129-2016 Контроль состояния и диагностика машин. Подходы к контролю состояния машин по показателям их производительности
Страницы стандарта



















