ГОСТ Р ИСО 13374-3-2015 Контроль состояния и диагностика машин. Обработка, передача и представление данных. Часть 3. Передача данных
ГОСТ Р ИСО
Скачать ГОСТ в PDF или DOC бесплатно
Основная информация
Обозначение:
ГОСТ Р ИСО 13374-3-2015
Статус:
Действует
Тип:
ГОСТ Р ИСО
Название русское:
Контроль состояния и диагностика машин. Обработка, передача и представление данных. Часть 3. Передача данных
Название английское:
Condition monitoring and diagnostics of machines. Data processing, communication and presentation. Part 3. Communication
Даты и сроки
Дата издания:
11-21-18
Дата введения в действие:
12-01-16
Дата завершения срока действия:
-
Применение и описание
Область и условия применения:
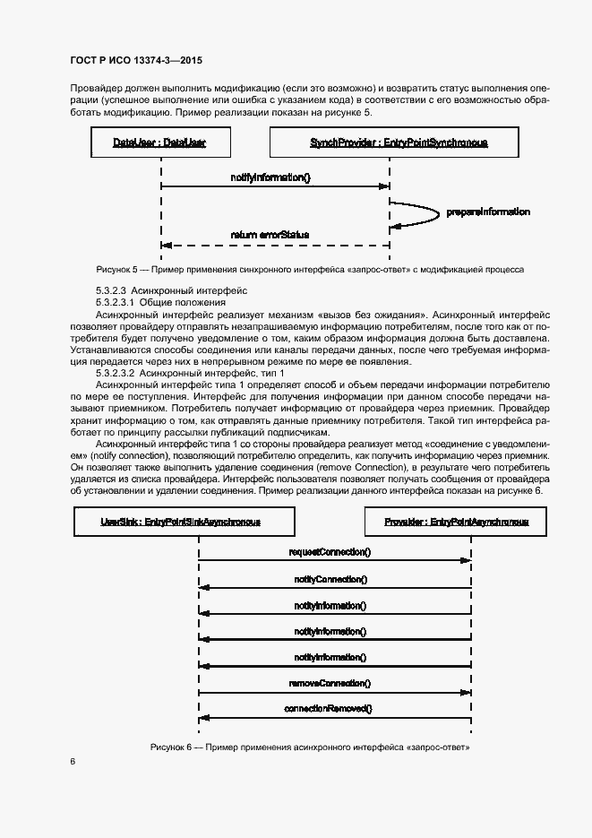
Настоящий стандарт устанавливает требования к передаче данных в открытой эталонной информационной архитектуре систем контроля состояния и диагностирования и эталонной архитектуре систем обработки данных. Настоящий стандарт предназначен для разработчиков систем программного обеспечения процедур обмена данными между различными приложениями системы контроля состояния и диагностирования предприятия и обеспечивает операционную совместимость этих систем
Связи и замены
Заменяющий:
-
Описание стандарта
ГОСТ Р ИСО 13374-3-2015 Контроль состояния и диагностика машин. Обработка, передача и представление данных. Часть 3. Передача данных
Страницы стандарта























