ГОСТ 13424-68 Теодолиты. Методы определения погрешностей диаметров горизонтального круга
ГОСТ
Скачать ГОСТ в PDF или DOC бесплатно
Основная информация
Обозначение:
ГОСТ 13424-68
Статус:
Действует
Тип:
ГОСТ
Название русское:
Теодолиты. Методы определения погрешностей диаметров горизонтального круга
Название английское:
Teodolites. Methods for determination of errors of horizontal circle diameter
Даты и сроки
Дата издания:
01-01-77
Дата введения в действие:
06-30-68
Дата завершения срока действия:
-
Применение и описание
Область и условия применения:
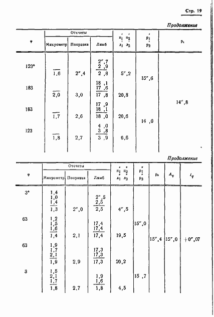
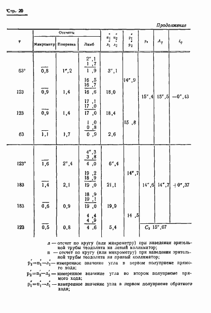
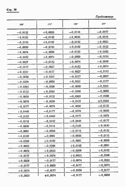
Настоящий стандарт устанавливает методы определения полных погрешностей диаметров горизонтальных кругов (лимбов) теодолитов
Связи и замены
Заменяющий:
-
Описание стандарта
ГОСТ 13424-68 Теодолиты. Методы определения погрешностей диаметров горизонтального круга
Страницы стандарта








































































































