ГОСТ 5359-77 Резьба окулярная для оптических приборов. Профиль и размеры
ГОСТ
Скачать ГОСТ в PDF или DOC бесплатно
Основная информация
Обозначение:
ГОСТ 5359-77
Статус:
Действует
Тип:
ГОСТ
Название русское:
Резьба окулярная для оптических приборов. Профиль и размеры
Название английское:
Ocular screw thread for optical devices. Profile and dimensions
Даты и сроки
Дата издания:
11-01-84
Дата введения в действие:
01-01-79
Дата завершения срока действия:
-
Применение и описание
Область и условия применения:
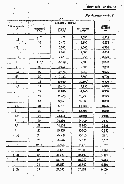
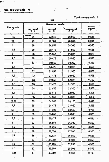
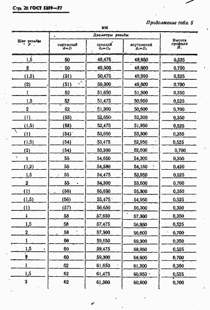
Настоящий стандарт устанавливает профиль и размеры одно- и многозаходной окулярной резьбы укороченного профиля диаметрами от 5 до 80 мм для резьбовых соединений трубчатых тонкостенных деталей, применяемых в оптическом производстве
Связи и замены
Заменяющий:
-
Взамен:
ГОСТ 5359-50
Изменения и переиздания
Список изменений:
№0 от (рег. ) «Срок действия продлен» №1 от (рег. ) «Срок действия продлен»
Описание стандарта
ГОСТ 5359-77 Резьба окулярная для оптических приборов. Профиль и размеры
Страницы стандарта






















