ГОСТ 25852-83 Контакт-детали электрические из благородных металлов и сплавов на их основе. Технические условия
ГОСТ
Скачать ГОСТ в PDF или DOC бесплатно
Основная информация
Обозначение:
ГОСТ 25852-83
Статус:
Заменен
Тип:
ГОСТ
Название русское:
Контакт-детали электрические из благородных металлов и сплавов на их основе. Технические условия
Название английское:
Electric contacts from noble metals and their alloys. Specifications
Даты и сроки
Дата издания:
05-01-87
Дата введения в действие:
06-30-84
Дата завершения срока действия:
05-01-22
Применение и описание
Область и условия применения:
Настоящий стандарт распространяется на электрические контакт-детали из благородных металлов и сплавов на их основе, изготовляемые штамповкой, холодной высадкой, вырубкой и применяемые в приборостроении, аппаратостроении, электротехнике
Связи и замены
Заменяющий:
ГОСТ 25852-2021
Изменения и переиздания
Список изменений:
№1 от (рег. ) «Срок действия продлен» №2 от (рег. ) «Срок действия продлен» №3 от (рег. ) «Срок действия продлен» №4 от (рег. ) «Текстовое изменение; Изменены ссылочные НД»
Описание стандарта
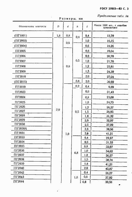
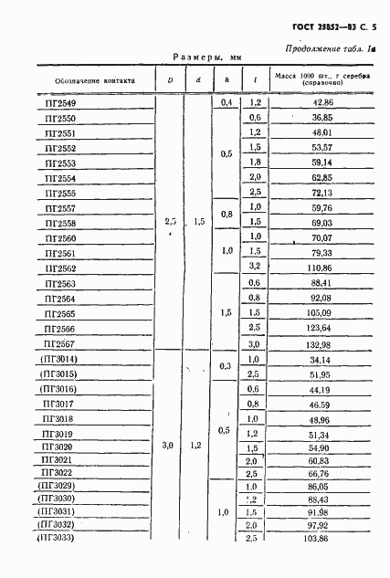
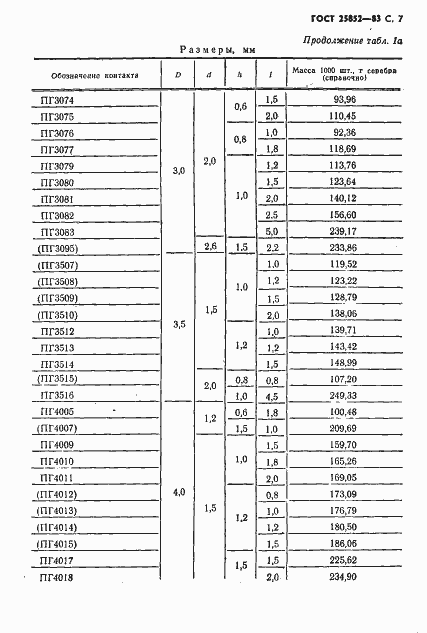
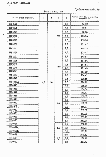
ГОСТ 25852-83 Контакт-детали электрические из благородных металлов и сплавов на их основе. Технические условия
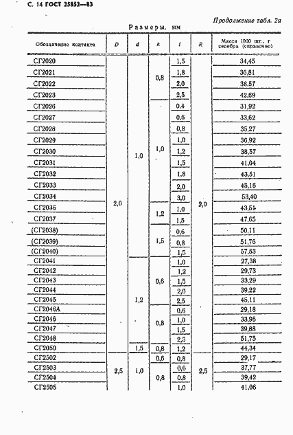
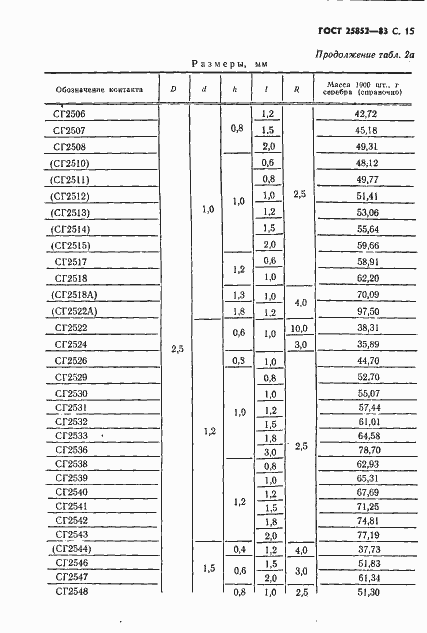
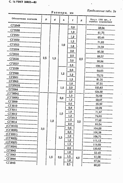
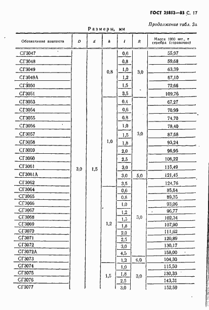
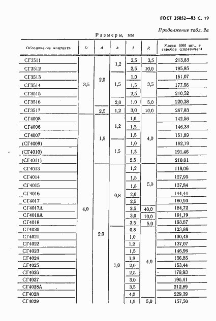
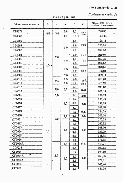
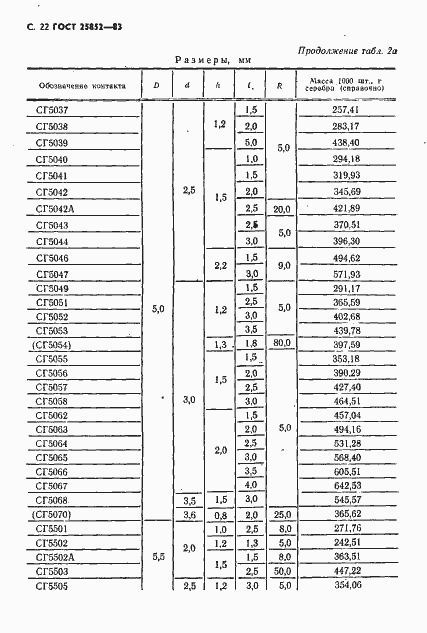
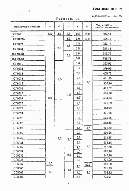
Страницы стандарта

































































Приложение №4: Изменение №4 к ГОСТ 25852-83 Обозначение: Изменение №4 к ГОСТ 25852-83 Дата введения в действие: 01.06.2006
