ГОСТ Р 8.869-2014 Государственная система обеспечения единства измерений. Государственная поверочная схема для средств измерений параметров спектров электронного парамагнитного резонанса
ГОСТ Р
Скачать ГОСТ в PDF или DOC бесплатно
Основная информация
Обозначение:
ГОСТ Р 8.869-2014
Статус:
Отменен
Тип:
ГОСТ Р
Название русское:
Государственная система обеспечения единства измерений. Государственная поверочная схема для средств измерений параметров спектров электронного парамагнитного резонанса
Название английское:
State system for ensuring the uniformity of measurements. State verification schedule for means measuring electron paramagnetic resonance spectrum parameters
Даты и сроки
Дата издания:
12-01-14
Дата введения в действие:
01-01-16
Дата завершения срока действия:
08-31-25
Применение и описание
Область и условия применения:
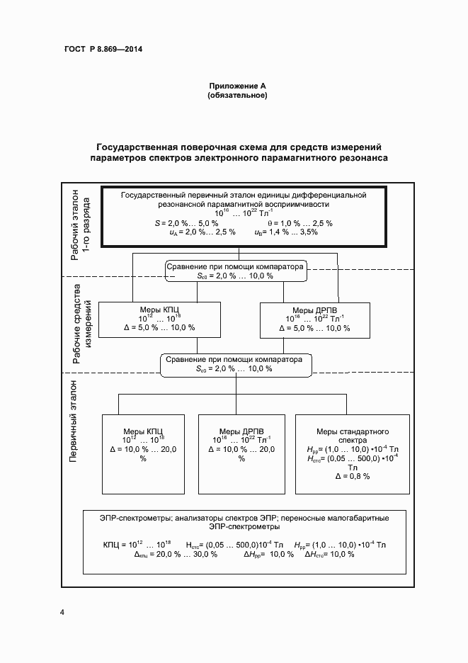
Настоящий стандарт распространяется на государственную поверочную схему для средств измерений параметров спектров электронного парамагнитного резонанса (см. рисунок А.1 приложения А) и устанавливает порядок передачи размера единицы количества парамагнитных центров (КПЦ) - единица измерения 1 (один) - и связанной с ней единицы дифференциальной резонансной парамагнитной восприимчивости (ДРПВ) - единица измерений Тесла в степени -1 - от государственного первичного эталона рабочим средствам измерений с помощью рабочих эталонов
Связи и замены
Заменяющий:
-
Описание стандарта
ГОСТ Р 8.869-2014 Государственная система обеспечения единства измерений. Государственная поверочная схема для средств измерений параметров спектров электронного парамагнитного резонанса
Страницы стандарта






