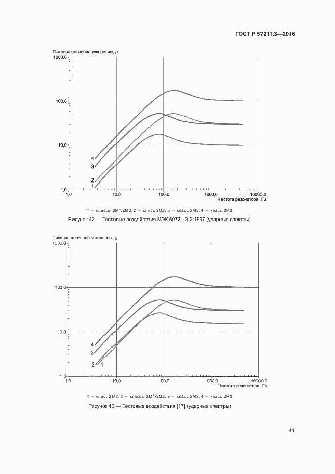
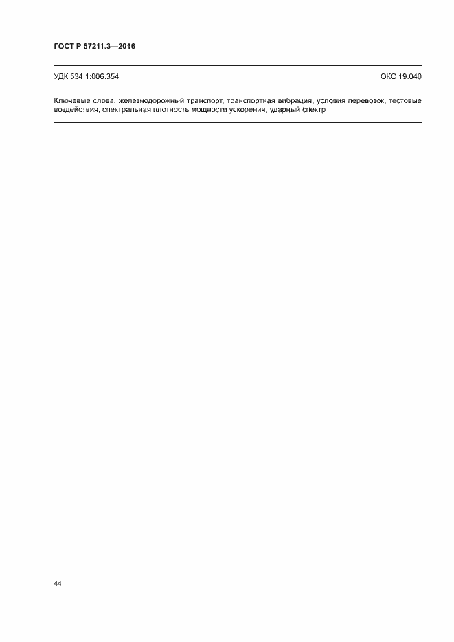
ГОСТ Р 57211.3-2016 Внешние воздействия. Данные о воздействии на электротехническое оборудование вибрации и ударов. Часть 3. Оборудование, перевозимое железнодорожным транспортом
ГОСТ Р
Скачать ГОСТ в PDF или DOC бесплатно
Основная информация
Обозначение:
ГОСТ Р 57211.3-2016
Статус:
Действует
Тип:
ГОСТ Р
Название русское:
Внешние воздействия. Данные о воздействии на электротехническое оборудование вибрации и ударов. Часть 3. Оборудование, перевозимое железнодорожным транспортом
Название английское:
Environmental conditions. Data of vibration and shock effects on electrotechnical equipment. Part 3. Equipment transported in rail vehicles
Даты и сроки
Дата издания:
07-15-19
Дата введения в действие:
10-01-17
Дата завершения срока действия:
-
Применение и описание
Область и условия применения:
Настоящий стандарт устанавливает метод использования данных динамических процессов, наблюдаемых на железнодорожном транспорте, для формирования типичных условий воздействий вибрации и ударов при перевозке электротехнического оборудования железнодорожным транспортом
Связи и замены
Заменяющий:
-
Описание стандарта
ГОСТ Р 57211.3-2016 Внешние воздействия. Данные о воздействии на электротехническое оборудование вибрации и ударов. Часть 3. Оборудование, перевозимое железнодорожным транспортом
Страницы стандарта















































