ГОСТ IEC 61010-1-2014 Безопасность электрических контрольно-измерительных приборов и лабораторного оборудования. Часть 1. Общие требования
ГОСТ МЭК
Скачать ГОСТ в PDF или DOC бесплатно
Основная информация
Обозначение:
ГОСТ IEC 61010-1-2014
Статус:
Действует
Тип:
ГОСТ МЭК
Название русское:
Безопасность электрических контрольно-измерительных приборов и лабораторного оборудования. Часть 1. Общие требования
Название английское:
Safety requirements for electrical equipment for measurement, control, and laboratory use. Part 1. General requirements
Даты и сроки
Дата регистрации:
07-30-14
Дата издания:
08-27-15
Дата введения в действие:
09-01-15
Дата завершения срока действия:
-
Применение и описание
Область и условия применения:
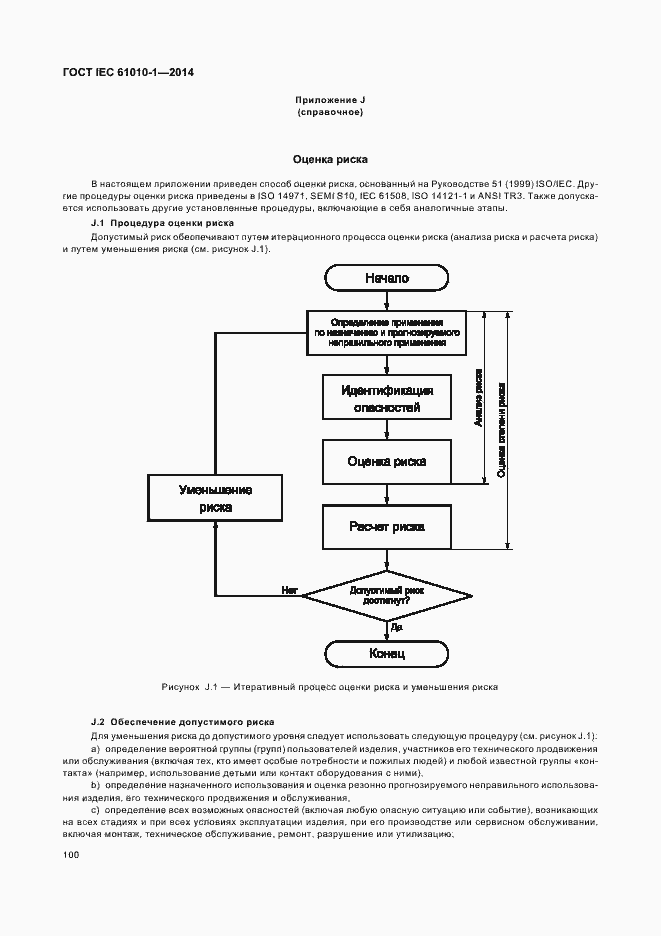
Настоящий стандарт устанавливает общие требования безопасности к следующим типам электрического оборудования и его вспомогательным устройствам при любых условиях использования, для которого оно предназначено. a) Электрическое оборудование для испытания и измерения. b) Электрическое оборудование для контроля технологических процессов при производстве. c) Электрическое лабораторное оборудование
Связи и замены
Заменяющий:
-
Описание стандарта
ГОСТ IEC 61010-1-2014 Безопасность электрических контрольно-измерительных приборов и лабораторного оборудования. Часть 1. Общие требования
Страницы стандарта







































































































































