ГОСТ IEC 61010-031-2011 Безопасность электрических контрольно-измерительных приборов и лабораторного оборудования. Часть 031. Требования безопасности к щупам электрическим ручным для электрических измерений и испытаний
ГОСТ МЭК
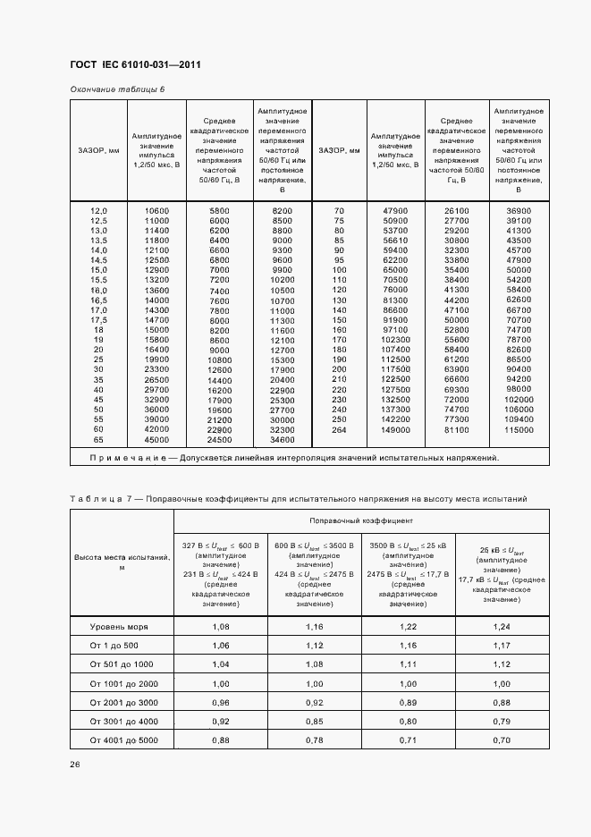
Скачать ГОСТ в PDF или DOC бесплатно
Основная информация
Обозначение:
ГОСТ IEC 61010-031-2011
Статус:
Заменен
Тип:
ГОСТ МЭК
Название русское:
Безопасность электрических контрольно-измерительных приборов и лабораторного оборудования. Часть 031. Требования безопасности к щупам электрическим ручным для электрических измерений и испытаний
Название английское:
Safety requirements for electrical equipment for measurement, control and laboratory use. Part 031. Safety requirements for hand-held probe assemblies for electrical measurement and test
Даты и сроки
Дата регистрации:
11-29-11
Дата издания:
04-11-13
Дата введения в действие:
01-01-13
Дата завершения срока действия:
09-01-15
Применение и описание
Область и условия применения:
Настоящий стандарт распространяется на ручные и управляемые руками электрические щупы описанных ниже типов, предназначенные для профессионального использования, профессионального обучения и применения в промышленности, а также на их принадлежности. Щупы применяют в качестве связующего звена между испытуемым объектом и контрольно-измерительным или испытательным оборудованием. Они могут быть закреплены на оборудовании или являться съемной принадлежностью Настоящий стандарт устанавливает требования к устройству и конструкции щупов с целью обеспечения защиты оператора и окружающей среды
Связи и замены
Заменяющий:
ГОСТ IEC 61010-031-2013
Описание стандарта
ГОСТ IEC 61010-031-2011 Безопасность электрических контрольно-измерительных приборов и лабораторного оборудования. Часть 031. Требования безопасности к щупам электрическим ручным для электрических измерений и испытаний
Страницы стандарта

















































