ГОСТ 25349-88 Основные нормы взаимозаменяемости. Единая система допусков и посадок. Поля допусков деталей из пластмасс
ГОСТ
Скачать ГОСТ в PDF или DOC бесплатно
Основная информация
Обозначение:
ГОСТ 25349-88
Статус:
Действует
Тип:
ГОСТ
Название русское:
Основные нормы взаимозаменяемости. Единая система допусков и посадок. Поля допусков деталей из пластмасс
Название английское:
Basic norms of interchangeability. Unified system of tolerances and fits. Tolerance zones for the plastics parts
Даты и сроки
Дата издания:
03-01-04
Дата введения в действие:
06-30-90
Дата завершения срока действия:
-
Применение и описание
Область и условия применения:
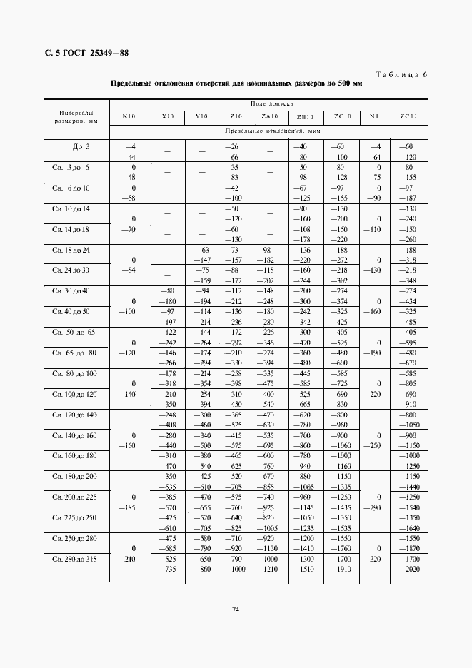
Настоящий стандарт устанавливает поля допусков и предельные отклонения для гладких сопрягаемых и несопрягаемых элементов деталей из пластмасс с номинальными размерами до 3150 мм
Связи и замены
Заменяющий:
-
Взамен:
ГОСТ 25349-82
Описание стандарта
ГОСТ 25349-88 Основные нормы взаимозаменяемости. Единая система допусков и посадок. Поля допусков деталей из пластмасс
Страницы стандарта











