ГОСТ 27.402-95 Надежность в технике. Планы испытаний для контроля средней наработки до отказа (на отказ). Часть 1. Экспоненциальное распределение
ГОСТ
Скачать ГОСТ в PDF или DOC бесплатно
Основная информация
Обозначение:
ГОСТ 27.402-95
Статус:
Действует
Тип:
ГОСТ
Название русское:
Надежность в технике. Планы испытаний для контроля средней наработки до отказа (на отказ). Часть 1. Экспоненциальное распределение
Название английское:
Dependability in technics. Compliance test plans for mean time between failures (to failure). Part 1. Exponential case
Даты и сроки
Дата регистрации:
04-26-95
Дата издания:
07-01-02
Дата введения в действие:
01-01-97
Дата завершения срока действия:
-
Применение и описание
Область и условия применения:
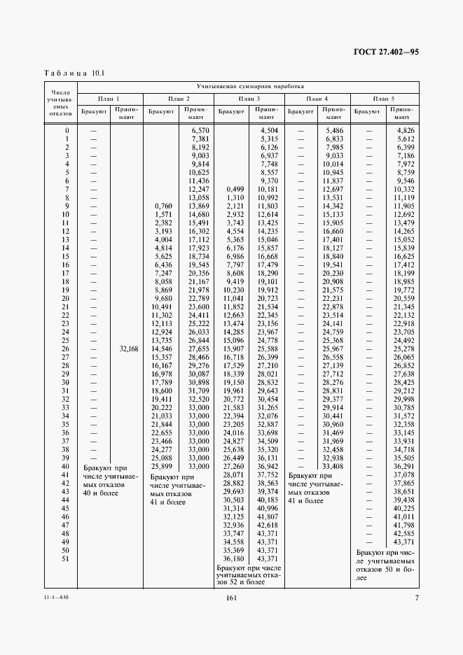
Настоящий стандарт распространяется на объекты (изделия), распределения наработок до отказа или между отказами которых аппроксимируют экспоненциальным распределением, и устанавливает планы контрольных испытаний для проверки соответствия средней наработки до отказа или на отказ заданным требованиям
Связи и замены
Заменяющий:
-
Описание стандарта
ГОСТ 27.402-95 Надежность в технике. Планы испытаний для контроля средней наработки до отказа (на отказ). Часть 1. Экспоненциальное распределение
Страницы стандарта








































