ГОСТы >
21.020 Характеристики и конструкция механизмов, приборов и оборудования >
ГОСТ Р 27.601-2011
ГОСТ Р 27.601-2011 Надежность в технике. Управление надежностью. Техническое обслуживание и его обеспечение
ГОСТ Р
Скачать ГОСТ в PDF или DOC бесплатно
Основная информация
Обозначение:
ГОСТ Р 27.601-2011
Статус:
Действует
Тип:
ГОСТ Р
Название русское:
Надежность в технике. Управление надежностью. Техническое обслуживание и его обеспечение
Название английское:
Dependability in technics. Dependability management. Maintenance and maintenance support
Даты и сроки
Дата издания:
02-08-13
Дата введения в действие:
06-01-12
Дата завершения срока действия:
-
Применение и описание
Область и условия применения:
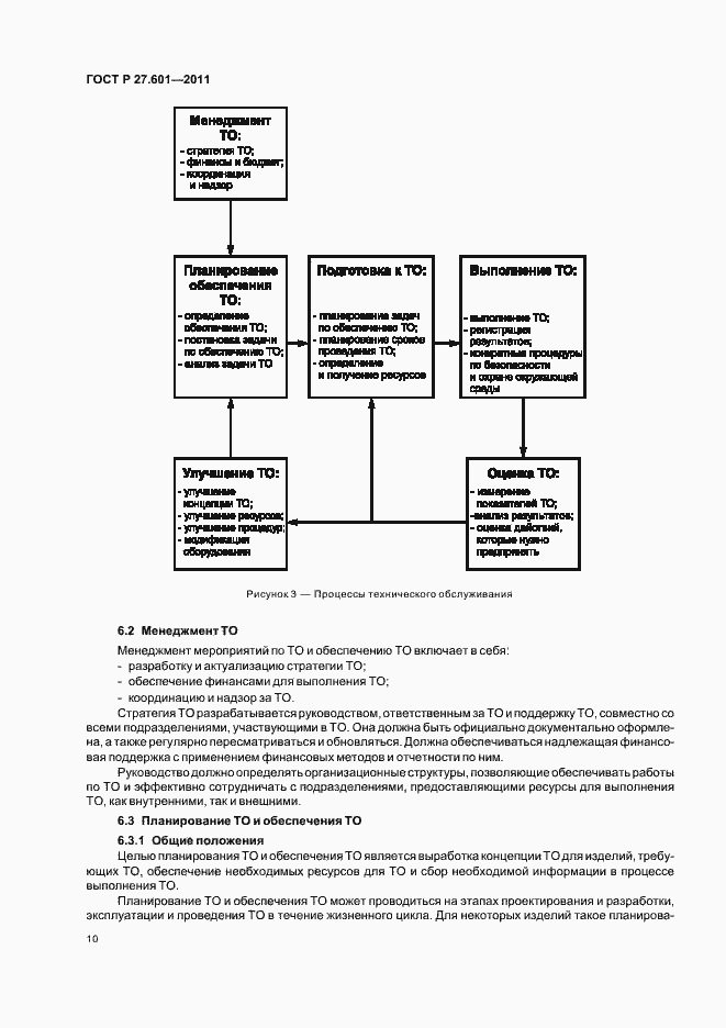
Настоящий стандарт описывает процесс технического обслуживания (ТО) и его обеспечения, устанавливает также различные минимальные общие методы, которыми следует руководствоваться при этом. Цель настоящего стандарта - установление общих требований к менеджменту, процессам и методам, относящимся к техническому обслуживанию и его обеспечению, необходимых для достижения надлежащей надежности, отвечающей эксплуатационным требованиям потребителя. Настоящий стандарт предназначен для использования широким кругом поставщиков, организаций, обеспечивающих техническое обслуживание, а также пользователей и может использоваться для изделий всех видов
Связи и замены
Заменяющий:
-
Описание стандарта
ГОСТ Р 27.601-2011 Надежность в технике. Управление надежностью. Техническое обслуживание и его обеспечение
Страницы стандарта



































