ГОСТ 25670-83 Основные нормы взаимозаменяемости. Предельные отклонения размеров с неуказанными допусками
ГОСТ
Скачать ГОСТ в PDF или DOC бесплатно
Основная информация
Обозначение:
ГОСТ 25670-83
Статус:
Заменен
Тип:
ГОСТ
Название русское:
Основные нормы взаимозаменяемости. Предельные отклонения размеров с неуказанными допусками
Название английское:
Basic norms of interchangeability. Limit deviations of dimensions without tolerance indication
Даты и сроки
Дата издания:
12-01-02
Дата введения в действие:
06-30-84
Дата завершения срока действия:
01-01-04
Применение и описание
Область и условия применения:
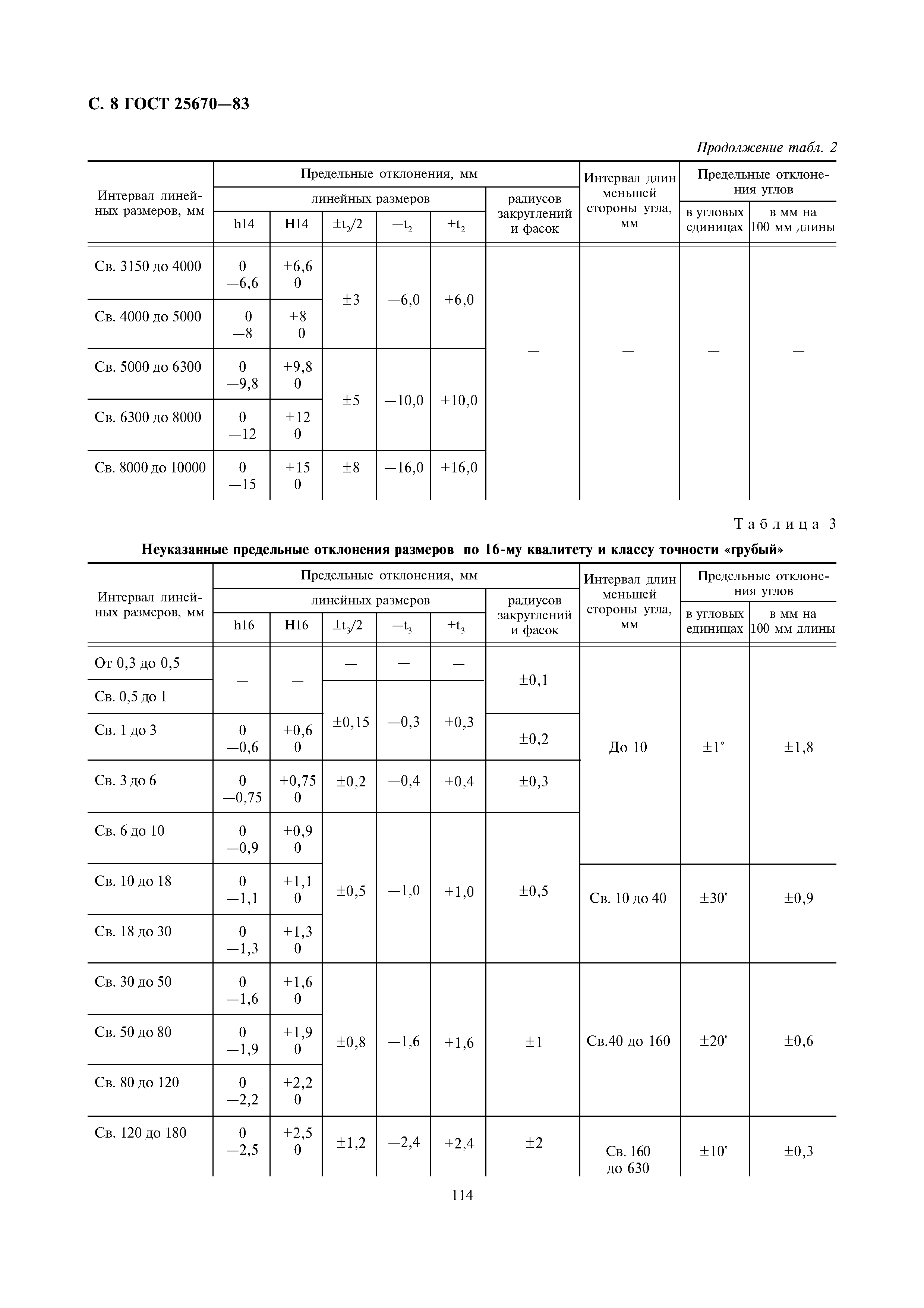
Настоящий стандарт распространяется на гладкие элементы металлических деталей машин и приборов, обработанные резанием, и устанавливает предельные отклонения размеров, если эти отклонения не указываются непосредственно у размеров. а оговариваются общей записью
Связи и замены
Заменяющий:
ГОСТ 30893.1-2002
Описание стандарта
ГОСТ 25670-83 Основные нормы взаимозаменяемости. Предельные отклонения размеров с неуказанными допусками
Страницы стандарта










