ГОСТ 13535-87 Основные нормы взаимозаменяемости. Резьба упорная усиленная 45°
ГОСТ
Скачать ГОСТ в PDF или DOC бесплатно
Основная информация
Обозначение:
ГОСТ 13535-87
Статус:
Действует
Тип:
ГОСТ
Название русское:
Основные нормы взаимозаменяемости. Резьба упорная усиленная 45°
Название английское:
Basic norms of interchangeability. Buttress thread, strengthened 45°
Даты и сроки
Дата издания:
01-01-03
Дата введения в действие:
06-30-88
Дата завершения срока действия:
-
Применение и описание
Область и условия применения:
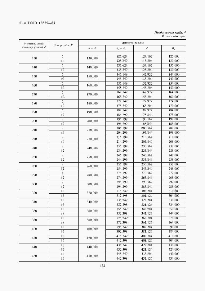
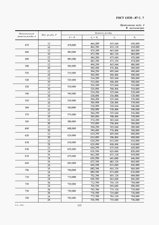
Настоящий стандарт распространяется на упорную усиленную резьбу с углами наклона боковых сторон профиля 45 градусов и 3 градуса, диаметрами от 80 до 2000 мм и устанавливает ее профиль, основные размеры и допуски
Связи и замены
Заменяющий:
-
Взамен:
ГОСТ 13535-68
Описание стандарта
ГОСТ 13535-87 Основные нормы взаимозаменяемости. Резьба упорная усиленная 45°
Страницы стандарта




















