ГОСТ 24705-2004 Основные нормы взаимозаменяемости. Резьба метрическая. Основные размеры
ГОСТ
Скачать ГОСТ в PDF или DOC бесплатно
Основная информация
Обозначение:
ГОСТ 24705-2004
Статус:
Действует
Тип:
ГОСТ
Название русское:
Основные нормы взаимозаменяемости. Резьба метрическая. Основные размеры
Название английское:
Вasic norms of interchangeability. Metric screw thread. Basic dimensions
Даты и сроки
Дата регистрации:
05-26-04
Дата издания:
06-01-08
Дата введения в действие:
07-01-05
Дата завершения срока действия:
-
Применение и описание
Область и условия применения:
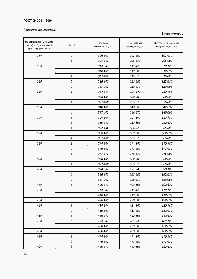
Настоящий стандарт распространяется на метрические резьбы общего назначения с профилем по ГОСТ 9150, диаметрами и шагами по ГОСТ 8724
Связи и замены
Заменяющий:
-
Взамен:
ГОСТ 24705-81
Описание стандарта
ГОСТ 24705-2004 Основные нормы взаимозаменяемости. Резьба метрическая. Основные размеры
Страницы стандарта


















