ГОСТ 24705-81 Основные нормы взаимозаменяемости. Резьба метрическая. Основные размеры
ГОСТ
Скачать ГОСТ в PDF или DOC бесплатно
Основная информация
Обозначение:
ГОСТ 24705-81
Статус:
Заменен
Тип:
ГОСТ
Название русское:
Основные нормы взаимозаменяемости. Резьба метрическая. Основные размеры
Название английское:
Basic norms of interchangeability. Metric screw thread. Basic dimensions
Даты и сроки
Дата издания:
08-21-81
Дата введения в действие:
01-01-82
Дата завершения срока действия:
07-01-05
Применение и описание
Область и условия применения:
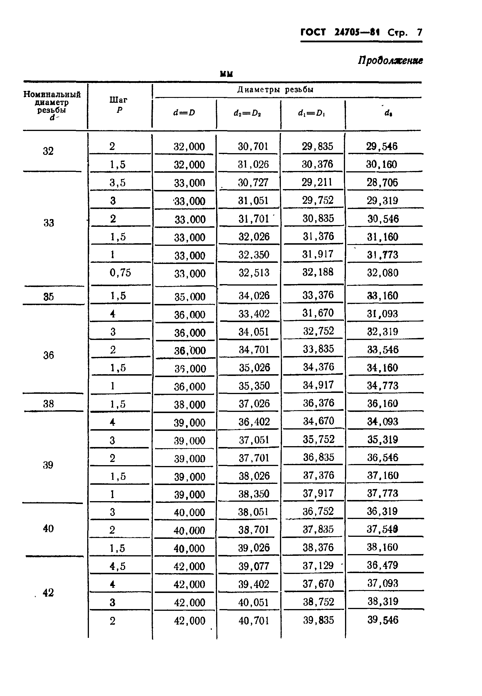
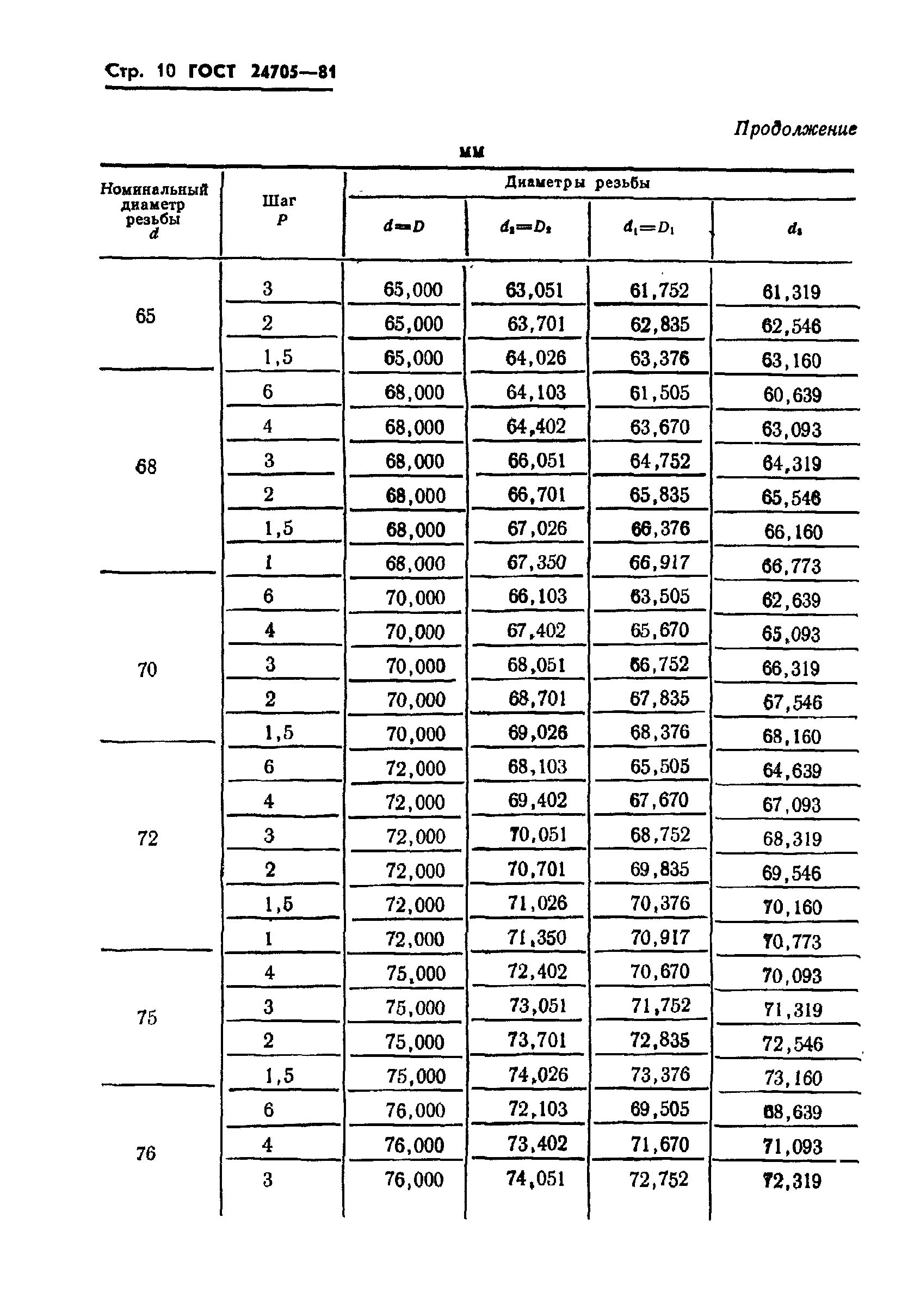
Настоящий стандарт распространяется на метрические резьбы общего назначения с профилем по ГОСТ 9150-81, диаметрами и шагами по ГОСТ 8724-81
Связи и замены
Заменяющий:
ГОСТ 24705-2004
Взамен в части:
ГОСТ 9000-73 в части основных размеров; ГОСТ 9150-59 в части основных размеров
Описание стандарта
ГОСТ 24705-81 Основные нормы взаимозаменяемости. Резьба метрическая. Основные размеры
Страницы стандарта






















