ГОСТ 24737-81 Основные нормы взаимозаменяемости. Резьба трапецеидальная однозаходная. Основные размеры
ГОСТ
Скачать ГОСТ в PDF или DOC бесплатно
Основная информация
Обозначение:
ГОСТ 24737-81
Статус:
Действует
Тип:
ГОСТ
Название русское:
Основные нормы взаимозаменяемости. Резьба трапецеидальная однозаходная. Основные размеры
Название английское:
Basic norms of interchangeability. Trapezoidal single-start screw thread. Basic dimensions
Даты и сроки
Дата издания:
12-01-02
Дата введения в действие:
01-01-82
Дата завершения срока действия:
-
Применение и описание
Область и условия применения:
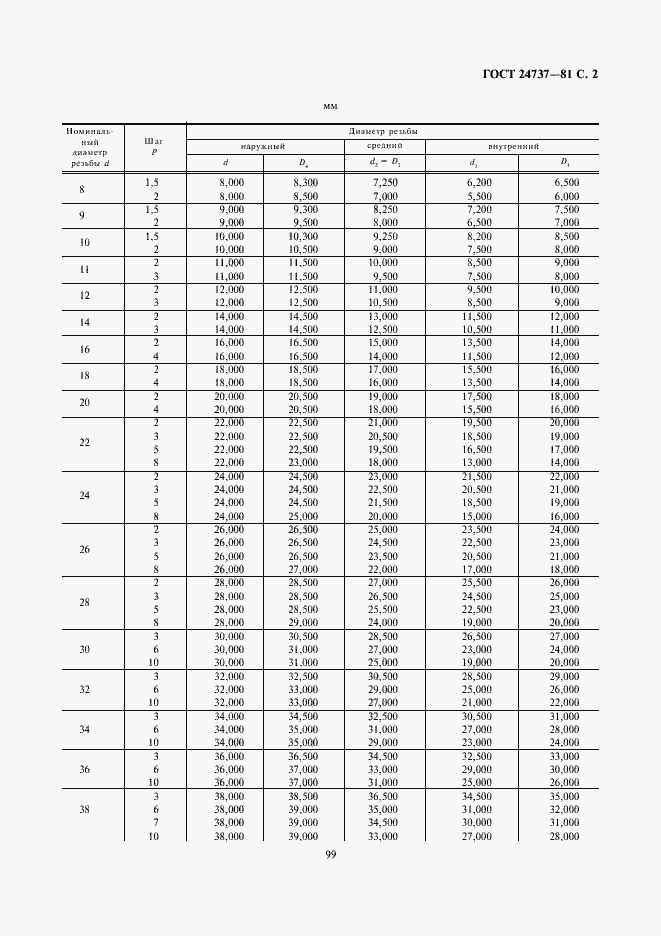
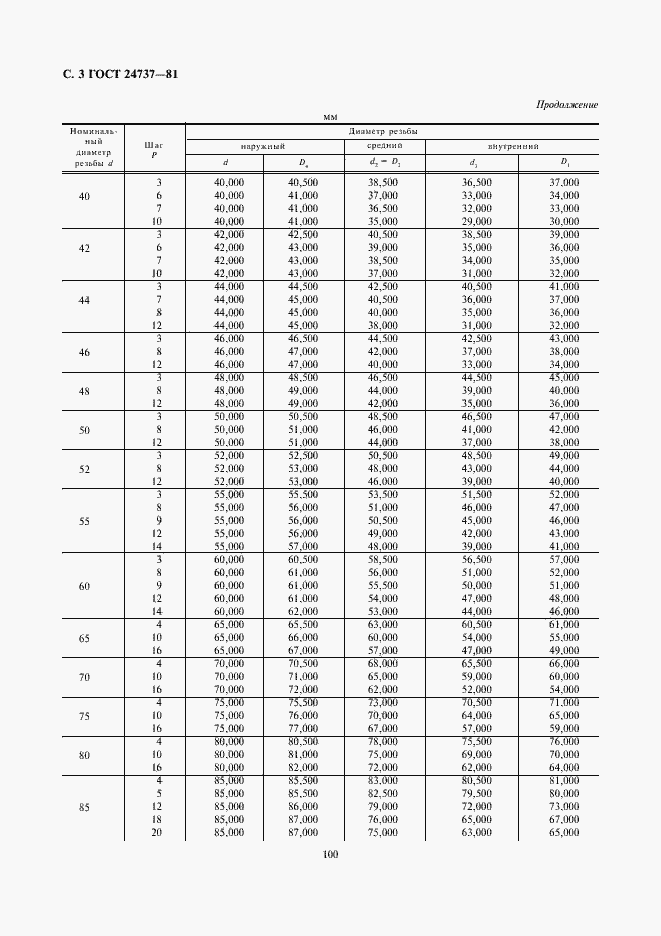
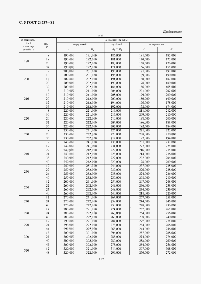
Настоящий стандарт распространяется на трапецеидальную однозаходную резьбу и устанавливает номинальные диаметры резьбы
Связи и замены
Заменяющий:
-
Взамен в части:
ГОСТ 9484-73 в части основных размеров
Описание стандарта
ГОСТ 24737-81 Основные нормы взаимозаменяемости. Резьба трапецеидальная однозаходная. Основные размеры
Страницы стандарта





