ГОСТ 30892-2002 Основные нормы взаимозаменяемости. Резьба метрическая с профилем MJ. Профиль, диаметры и шаги, допуски
ГОСТ
Скачать ГОСТ в PDF или DOC бесплатно
Основная информация
Обозначение:
ГОСТ 30892-2002
Статус:
Действует
Тип:
ГОСТ
Название русское:
Основные нормы взаимозаменяемости. Резьба метрическая с профилем MJ. Профиль, диаметры и шаги, допуски
Название английское:
Basic norms of interchangeability. Metrical MJ theads. Profile, general plan, tolerances
Даты и сроки
Дата регистрации:
11-06-02
Дата издания:
10-23-03
Дата введения в действие:
01-01-04
Дата завершения срока действия:
-
Применение и описание
Область и условия применения:
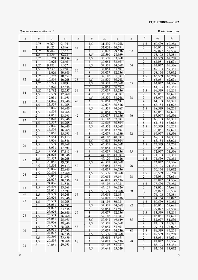
Настоящий стандарт распространяется на метрическую резьбу с профилем MJ, предназначенную для применения в условиях, где требуется повышенная усталостная прочность резьбовых соединений, в первую очередь для изделий авиакосмической техники, и устанавливает профиль резьбы, диаметры и шаги, допуски и предельные отклонения, а также условные обозначения для этой резьбы
Связи и замены
Заменяющий:
-
Описание стандарта
ГОСТ 30892-2002 Основные нормы взаимозаменяемости. Резьба метрическая с профилем MJ. Профиль, диаметры и шаги, допуски
Страницы стандарта

















