ГОСТ Р 50864-96 Резьба коническая замковая для элементов бурильных колонн. Профиль, размеры, технические требования
ГОСТ Р
Скачать ГОСТ в PDF или DOC бесплатно
Основная информация
Обозначение:
ГОСТ Р 50864-96
Статус:
Отменен
Тип:
ГОСТ Р
Название русское:
Резьба коническая замковая для элементов бурильных колонн. Профиль, размеры, технические требования
Название английское:
Tool-joint tapered thread for drill string elements. Profile,dimensions, technical requirements
Даты и сроки
Дата издания:
01-01-03
Дата введения в действие:
01-01-97
Дата завершения срока действия:
01-01-20
Применение и описание
Область и условия применения:
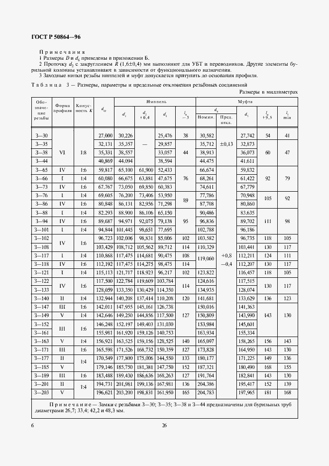
Настоящий стандарт распространяется на наружную и внутреннюю коническую замковую резьбу, применяемую в соединениях элементов бурильной колонны: замков (для бурильных труб), ведущих бурильных труб, переводников различного назначения, утяжеленных бурильных труб, погружных забойных двигателях, шарошечных и лопастных долот, алмазных долот и коронок
Связи и замены
Заменяющий:
-
Изменения и переиздания
Список изменений:
№0 от (рег. ) «Текстовое изменение; Изменено заглавие»
Описание стандарта
ГОСТ Р 50864-96 Резьба коническая замковая для элементов бурильных колонн. Профиль, размеры, технические требования
Страницы стандарта














