ГОСТ 10299-80 Заклепки с полукруглой головкой классов точности В и С. Технические условия
ГОСТ
Скачать ГОСТ в PDF или DOC бесплатно
Основная информация
Обозначение:
ГОСТ 10299-80
Статус:
Действует
Тип:
ГОСТ
Название русское:
Заклепки с полукруглой головкой классов точности В и С. Технические условия
Название английское:
Button-head rivets classes B and C. Specifications
Даты и сроки
Дата издания:
11-01-04
Дата введения в действие:
01-01-81
Дата завершения срока действия:
-
Применение и описание
Область и условия применения:
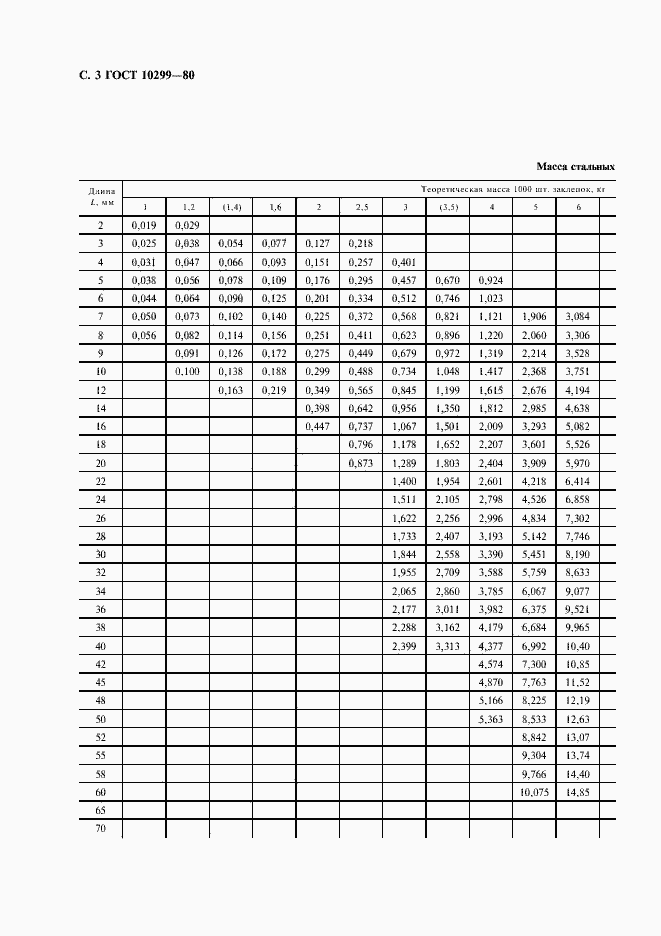
Настоящий стандарт распространяется на заклепки с полукруглой головкой общемашиностроительного применения с диаметром стержня от 1 до 36 мм классов точности В и С
Связи и замены
Заменяющий:
-
Взамен:
ГОСТ 10299-68
Изменения и переиздания
Список изменений:
№1 от (рег. ) «Срок действия продлен» №2 от (рег. ) «Поправка»
Описание стандарта
ГОСТ 10299-80 Заклепки с полукруглой головкой классов точности В и С. Технические условия
Страницы стандарта







