ГОСТ 12643-80 Заклепки полупустотелые с потайной головкой. Технические условия
ГОСТ
Скачать ГОСТ в PDF или DOC бесплатно
Основная информация
Обозначение:
ГОСТ 12643-80
Статус:
Действует
Тип:
ГОСТ
Название русское:
Заклепки полупустотелые с потайной головкой. Технические условия
Название английское:
Semi-hollow countersunk-(flat)-head rivets. Specications
Даты и сроки
Дата издания:
09-01-04
Дата введения в действие:
01-01-82
Дата завершения срока действия:
-
Применение и описание
Область и условия применения:
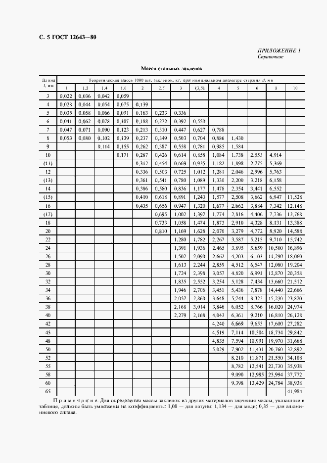
Настоящий стандарт распространяется на полупустотелые заклепки с потайной головкой с диаметром стержня от 1 до 10 мм. Заклепки полупустотелые с потайной головкой должны удовлетворять всем требованиям ГОСТ 12644-80 и требованиям, изложенным в соответствующих разделах настоящего стандарта
Связи и замены
Заменяющий:
-
Взамен:
ГОСТ 12643-67
Изменения и переиздания
Список изменений:
№1 от (рег. ) «Срок действия продлен»
Описание стандарта
ГОСТ 12643-80 Заклепки полупустотелые с потайной головкой. Технические условия
Страницы стандарта







