ГОСТ 17678-80 Скобы облегченные для крепления трубопроводов и кабелей. Конструкция и размеры
ГОСТ
Скачать ГОСТ в PDF или DOC бесплатно
Основная информация
Обозначение:
ГОСТ 17678-80
Статус:
Действует
Тип:
ГОСТ
Название русское:
Скобы облегченные для крепления трубопроводов и кабелей. Конструкция и размеры
Название английское:
Light cramps for pipe-line and cable fixing. Design and dimensions
Даты и сроки
Дата издания:
06-01-92
Дата введения в действие:
01-01-81
Дата завершения срока действия:
-
Применение и описание
Область и условия применения:
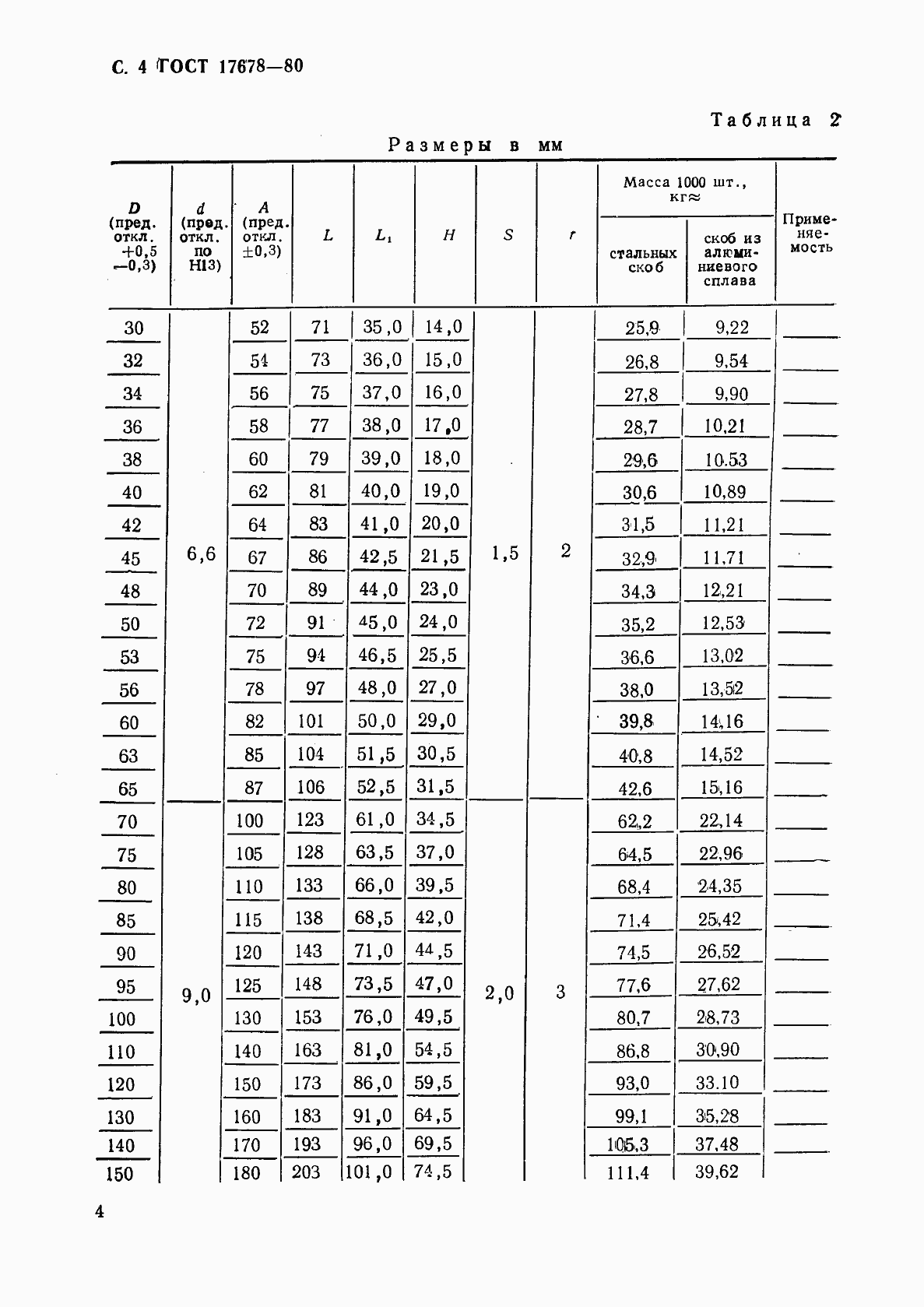
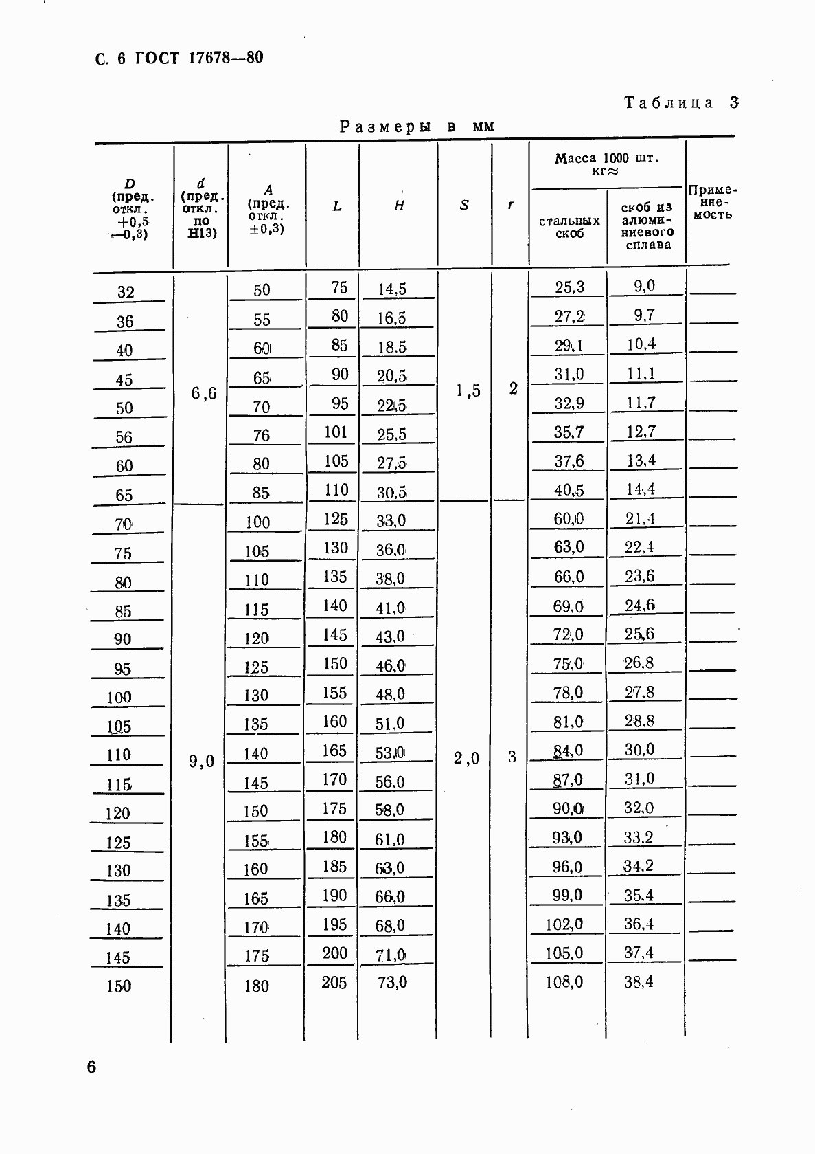
Настоящий стандарт устанавливает конструкцию и размеры скоб облегченных для крепления трубопроводов и кабелей
Связи и замены
Заменяющий:
-
Взамен:
ГОСТ 16685-71;ГОСТ 16687-71;ГОСТ 17678-72
Изменения и переиздания
Список изменений:
№1 от (рег. ) «Срок действия продлен» №2 от (рег. ) «Срок действия продлен»
Описание стандарта
ГОСТ 17678-80 Скобы облегченные для крепления трубопроводов и кабелей. Конструкция и размеры
Страницы стандарта

















