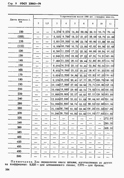
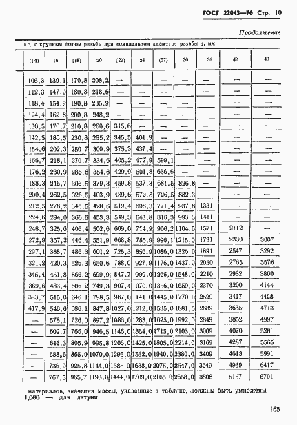
ГОСТ 22043-76 Шпильки для деталей с гладкими отверстиями. Класс точности А. Конструкция и размеры
ГОСТ
Скачать ГОСТ в PDF или DOC бесплатно
Основная информация
Обозначение:
ГОСТ 22043-76
Статус:
Действует
Тип:
ГОСТ
Название русское:
Шпильки для деталей с гладкими отверстиями. Класс точности А. Конструкция и размеры
Название английское:
Studs for smooth hole parts. Product grade A. Construction and dimensions
Даты и сроки
Дата издания:
09-01-83
Дата введения в действие:
06-30-78
Дата завершения срока действия:
-
Применение и описание
Область и условия применения:
Настоящий стандарт распространяется на шпильки с двумя одинаковыми по длине резьбовыми концами с диаметром резьбы от 2 до 48 мм
Связи и замены
Заменяющий:
-
Взамен:
ГОСТ 11770-66
Изменения и переиздания
Список изменений:
№1 от (рег. ) «Срок действия продлен» №2 от (рег. ) «Срок действия продлен» №3 от (рег. ) «Срок действия продлен»
Описание стандарта
ГОСТ 22043-76 Шпильки для деталей с гладкими отверстиями. Класс точности А. Конструкция и размеры
Страницы стандарта















