ГОСТ ISO 2320-2015 Гайки стальные самостопорящиеся. Механические и эксплуатационные свойства
ГОСТ ИСО
Скачать ГОСТ в PDF или DOC бесплатно
Основная информация
Обозначение:
ГОСТ ISO 2320-2015
Статус:
Заменен
Тип:
ГОСТ ИСО
Название русское:
Гайки стальные самостопорящиеся. Механические и эксплуатационные свойства
Название английское:
Prevailing torque type steel nuts. Mechanical and performance properties
Даты и сроки
Дата регистрации:
09-29-15
Дата издания:
06-23-16
Дата введения в действие:
01-01-18
Дата завершения срока действия:
06-01-22
Применение и описание
Область и условия применения:
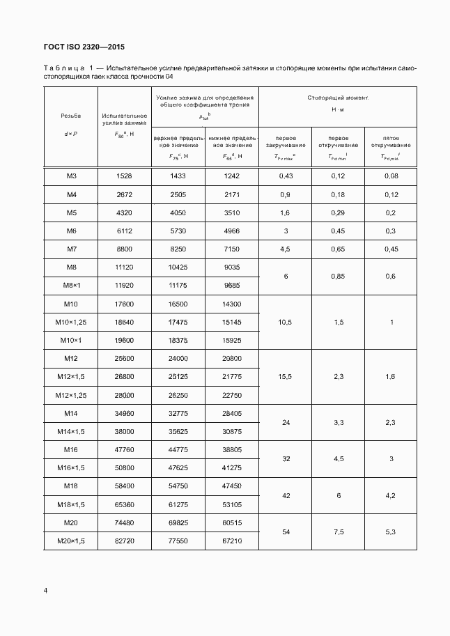
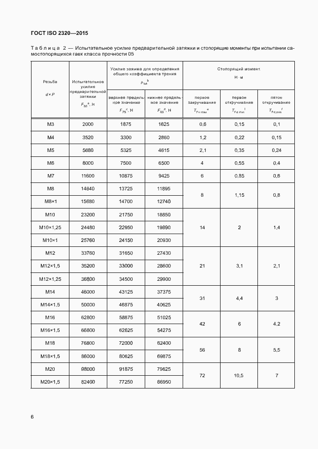
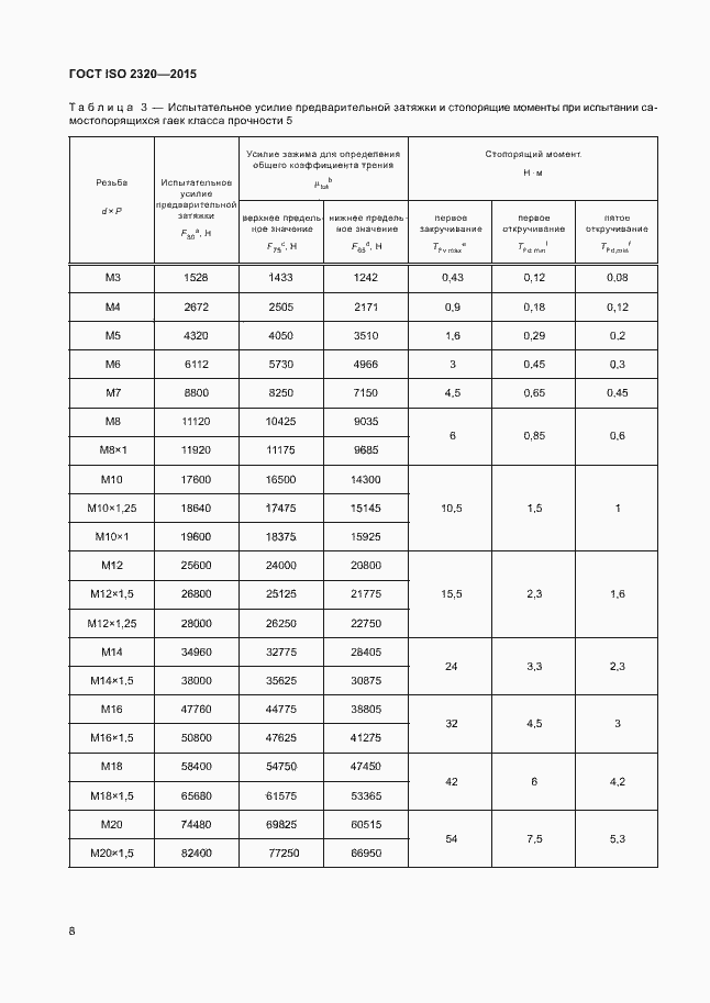
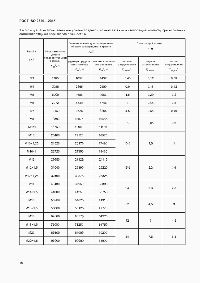
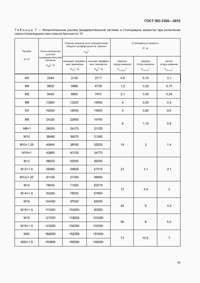
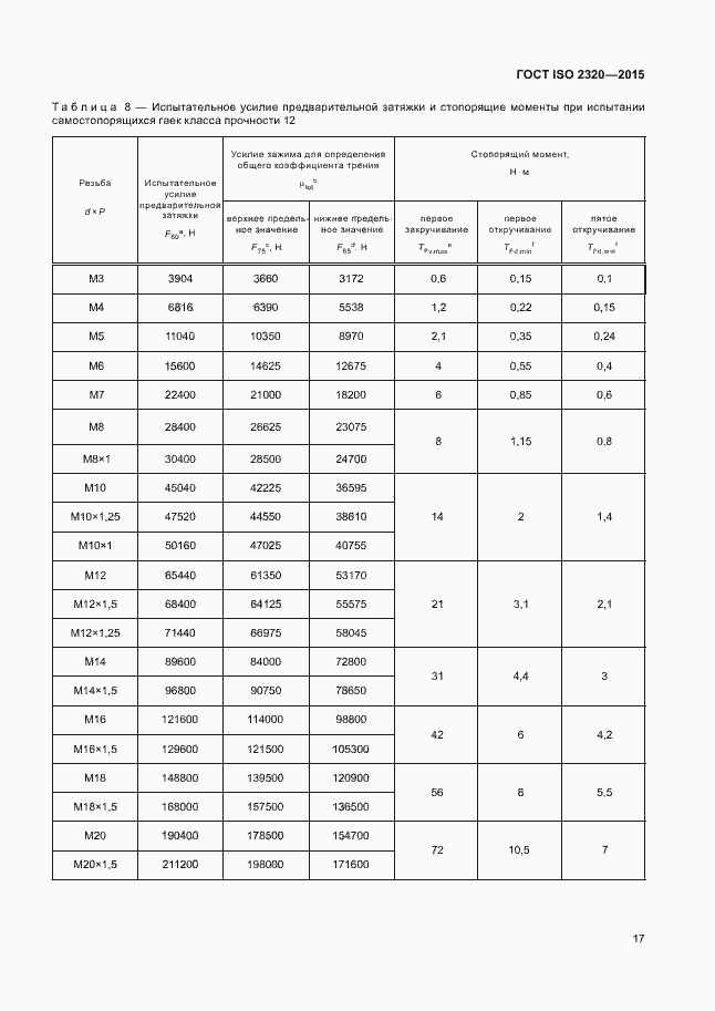
Настоящий стандарт устанавливает механические и эксплуатационные свойства самостопорящихся гаек при испытаниях в диапазоне температур окружающей среды от 10 °С до 35 °С, включая отдельное испытание по определению стопорящих свойств (эксплуатационных свойств) и/или свойств стопорящего момента и усилия предварительной затяжки. Настоящий стандарт распространяется на самостопорящиеся гайки цельнометаллические и самостопорящиеся гайки с неметаллической вставкой
Связи и замены
Заменяющий:
ГОСТ ISO 2320-2021
Описание стандарта
ГОСТ ISO 2320-2015 Гайки стальные самостопорящиеся. Механические и эксплуатационные свойства
Страницы стандарта































