ГОСТ Р ИСО 2320-2009 Гайки стальные самостопорящиеся. Механические и эксплуатационные свойства
ГОСТ Р ИСО
Скачать ГОСТ в PDF или DOC бесплатно
Основная информация
Обозначение:
ГОСТ Р ИСО 2320-2009
Статус:
Отменен
Тип:
ГОСТ Р ИСО
Название русское:
Гайки стальные самостопорящиеся. Механические и эксплуатационные свойства
Название английское:
Prevailing torque type steel nuts – Mechanical and performance properties
Даты и сроки
Дата издания:
06-08-10
Дата введения в действие:
01-01-11
Дата завершения срока действия:
01-01-18
Применение и описание
Область и условия применения:
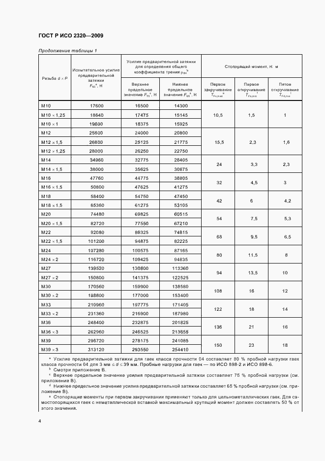
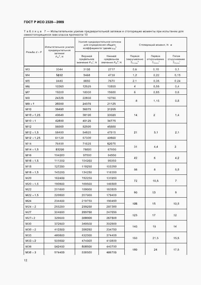
Настоящий стандарт устанавливает механические и эксплуатационные свойства стальных самостопорящихся гаек при испытании в условиях с температурой окружающей среды от 10 °С до 35 °С, включая отдельное испытание по определению стопорящих свойств (эксплуатационных свойств) и / или характеристик стопорящего момента и усилия предварительной затяжки. Настоящий стандарт распространяется на самостопорящиеся гайки цельнометаллические и самостопорящиеся гайки с неметаллической вставкой: a) с треугольной резьбой по ИСО 68-1; b) с комбинациями диаметров и шагов по ИСО 261 и ИСО 262; c) с крупным шагом резьбы M3 до M39 и механическими свойствами по ИСО 898-2; d) с мелким шагом резьбы M8x1 до M39x3 и механическими свойствами по ИСО 898-6; e) при температурах от минус 50 °С до плюс 150 °С для цельнометаллических гаек
Связи и замены
Заменяющий:
-
Взамен:
ГОСТ Р 50271-92
Изменения и переиздания
Список изменений:
№0 от (рег. ) «Текстовое изменение; Изменено заглавие»
Описание стандарта
ГОСТ Р ИСО 2320-2009 Гайки стальные самостопорящиеся. Механические и эксплуатационные свойства
Страницы стандарта



























