ГОСТ Р 52644-2006 Болты высокопрочные с шестигранной головкой с увеличенным размером под ключ для металлических конструкций. Технические условия
ГОСТ Р
Скачать ГОСТ в PDF или DOC бесплатно
Основная информация
Обозначение:
ГОСТ Р 52644-2006
Статус:
Отменен
Тип:
ГОСТ Р
Название русское:
Болты высокопрочные с шестигранной головкой с увеличенным размером под ключ для металлических конструкций. Технические условия
Название английское:
Hexagon bolts for high-strength structural bolting with large width across flats. Specifications
Даты и сроки
Дата издания:
03-01-08
Дата введения в действие:
01-01-08
Дата завершения срока действия:
07-01-18
Применение и описание
Область и условия применения:
Настоящий стандарт распространяется на высокопрочные болты с шестигранной головкой с увеличенным размером под ключ, предназначенные для использования в металлических конструкциях, применяемых в строительстве и машиностроении и эксплуатируемые во всех макроклиматических районах независимо от категории размещения по ГОСТ 15150
Связи и замены
Заменяющий:
-
Изменения и переиздания
Список изменений:
№0 от (рег. ) «Текстовое изменение; Изменено заглавие» №0 от (рег. ) «Восстановлен на территории РФ» №1 от (рег. ) «Текстовое изменение; Изменены ссылочные НД»
Описание стандарта
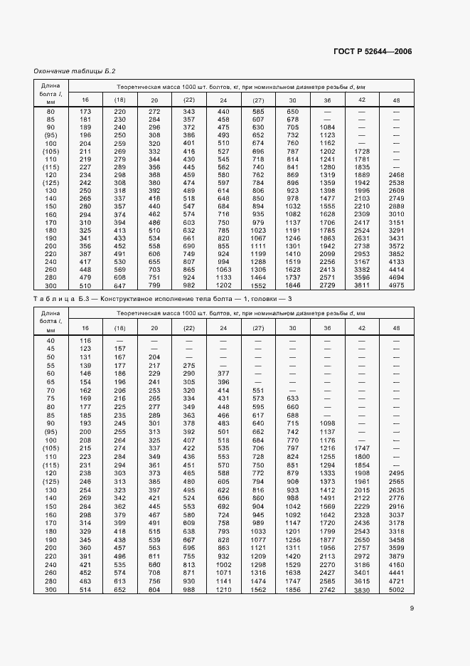
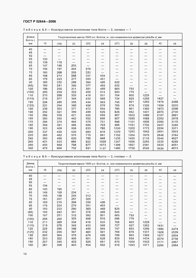
ГОСТ Р 52644-2006 Болты высокопрочные с шестигранной головкой с увеличенным размером под ключ для металлических конструкций. Технические условия
Страницы стандарта





























Приложение №3: Изменение №1 к ГОСТ Р 52644-2006 Обозначение: Изменение №1 к ГОСТ Р 52644-2006 Дата введения в действие: 01.07.2011

Приложение №3: Изменение №1 к ГОСТ Р 52644-2006 Обозначение: Изменение №1 к ГОСТ Р 52644-2006 Дата введения в действие: 01.07.2011

Приложение №3: Изменение №1 к ГОСТ Р 52644-2006 Обозначение: Изменение №1 к ГОСТ Р 52644-2006 Дата введения в действие: 01.07.2011
