ГОСТ ISO 2320-2021 Изделия крепежные. Гайки стальные самостопорящиеся. Эксплуатационные свойства
ГОСТ ИСО
Скачать ГОСТ в PDF или DOC бесплатно
Основная информация
Обозначение:
ГОСТ ISO 2320-2021
Статус:
Действует
Тип:
ГОСТ ИСО
Название русское:
Изделия крепежные. Гайки стальные самостопорящиеся. Эксплуатационные свойства
Название английское:
Fasteners. Prevailing torque steel nuts. Functional properties
Даты и сроки
Дата регистрации:
10-22-21
Дата издания:
12-16-21
Дата введения в действие:
06-01-22
Дата завершения срока действия:
-
Применение и описание
Область и условия применения:
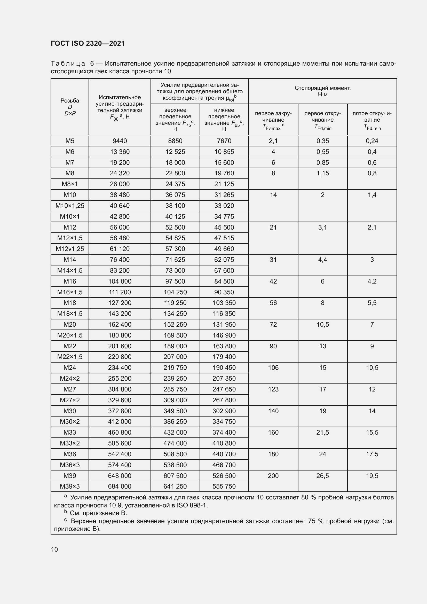
Настоящий стандарт устанавливает эксплуатационные свойства самостопорящихся гаек при испытаниях в диапазоне температур окружающей среды от 10 °С до 35 °С. Он включает в себя комбинированный метод испытания для одновременного определения стопорящих свойств и свойств крутящего момента/усилия предварительной затяжки. Настоящий стандарт распространяется на самостопорящиеся цельнометаллические гайки и самостопорящиеся гайки с неметаллической вставкой: - с треугольной резьбой в соответствии с [1]; - с комбинацией диаметр/шаг в соответствии с [2] и [3]; - с крупным шагом резьбы от M5 до M39 или с мелким шагом резьбы от М8 х 1 до М39 х 3; - с допусками резьбы в соответствии с ISO 965-2; - с механическими свойствами в соответствии с ISO 898-2. Значения стопорящего момента, установленные в настоящем стандарте, основаны на испытании в лабораторных условиях
Связи и замены
Заменяющий:
-
Взамен:
ГОСТ ISO 2320-2015
Описание стандарта
ГОСТ ISO 2320-2021 Изделия крепежные. Гайки стальные самостопорящиеся. Эксплуатационные свойства
Страницы стандарта

























Приложение №1: Поправка к ГОСТ ISO 2320-2021 Обозначение: Поправка к ГОСТ ISO 2320-2021 Дата введения в действие: 05.08.2022
