ГОСТ 13014-80 Втулки стяжные подшипников качения. Основные размеры
ГОСТ
Скачать ГОСТ в PDF или DOC бесплатно
Основная информация
Обозначение:
ГОСТ 13014-80
Статус:
Заменен
Тип:
ГОСТ
Название русское:
Втулки стяжные подшипников качения. Основные размеры
Название английское:
Clamping sleeves of rolling bearings. Basic dimensions
Даты и сроки
Дата издания:
03-01-87
Дата введения в действие:
01-01-81
Дата завершения срока действия:
09-01-24
Применение и описание
Область и условия применения:
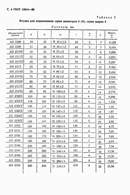
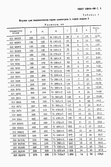
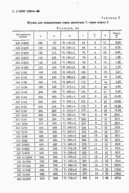
Настоящий стандарт распространяется на стяжки втулки, предназначенные для крепления подшипников качения с коническим отверстием конусностью 1:12 на цилиндрических шейках валов, и устанавливает их основных размеры
Связи и замены
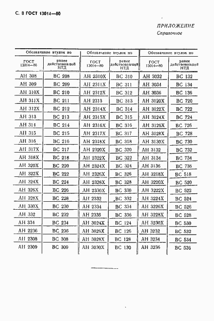
Заменяющий:
ГОСТ 35069-2024
Взамен:
ГОСТ 13014-67
Описание стандарта
ГОСТ 13014-80 Втулки стяжные подшипников качения. Основные размеры
Страницы стандарта









