ГОСТ 2893-82 Подшипники качения. Канавки под упорные пружинные кольца. Кольца упорные пружинные. Размеры
ГОСТ
Скачать ГОСТ в PDF или DOC бесплатно
Основная информация
Обозначение:
ГОСТ 2893-82
Статус:
Заменен
Тип:
ГОСТ
Название русское:
Подшипники качения. Канавки под упорные пружинные кольца. Кольца упорные пружинные. Размеры
Название английское:
Rolling bearings. Grooves for locking spring rings. Locking shap rings. Dimensions
Даты и сроки
Дата издания:
05-01-98
Дата введения в действие:
01-01-83
Дата завершения срока действия:
05-01-22
Применение и описание
Область и условия применения:
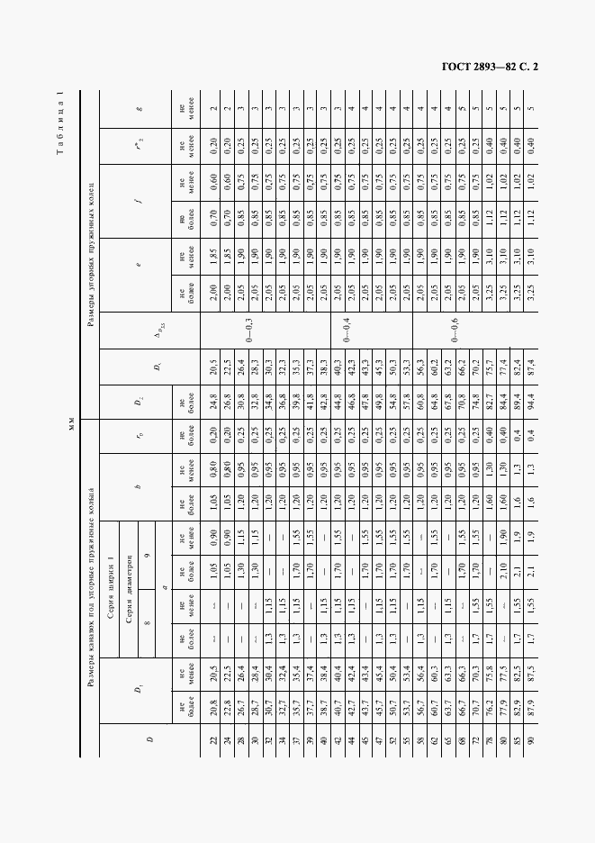
Настоящий стандарт распространяется на канавки под упорные пружинные кольца и упорные пружинные кольца для радиальных подшипников качения серии ширин 1, серий диаметров 8 и 9, а также серий диаметров 1-4 по ГОСТ 3478-79. Настоящий стандарт не распространяется на канавки под упорные пружинные кольца и упорные пружинные кольца для подшипников следующих серий: серия диаметров 1, серия ширин 7 серия диаметров 2, серия ширин 8 серия диаметров 3, серия ширин 8
Связи и замены
Заменяющий:
ГОСТ 2893-2022
Взамен:
ГОСТ 2893-73
Изменения и переиздания
Список изменений:
№1 от (рег. ) «Срок действия продлен»
Описание стандарта
ГОСТ 2893-82 Подшипники качения. Канавки под упорные пружинные кольца. Кольца упорные пружинные. Размеры
Страницы стандарта







