ГОСТ 4060-78 Подшипники роликовые игольчатые с одним наружным штампованным кольцом. Технические условия
ГОСТ
Скачать ГОСТ в PDF или DOC бесплатно
Основная информация
Обозначение:
ГОСТ 4060-78
Статус:
Заменен
Тип:
ГОСТ
Название русское:
Подшипники роликовые игольчатые с одним наружным штампованным кольцом. Технические условия
Название английское:
Needle roller bearings. Outer shell and roller assembly. Technical conditions
Даты и сроки
Дата издания:
08-01-91
Дата введения в действие:
01-01-80
Дата завершения срока действия:
-
Применение и описание
Область и условия применения:
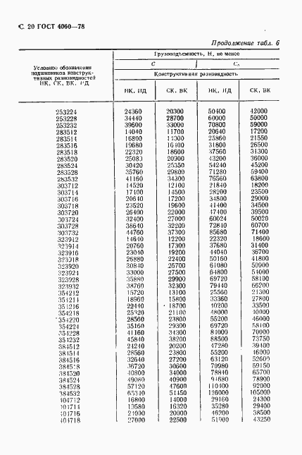
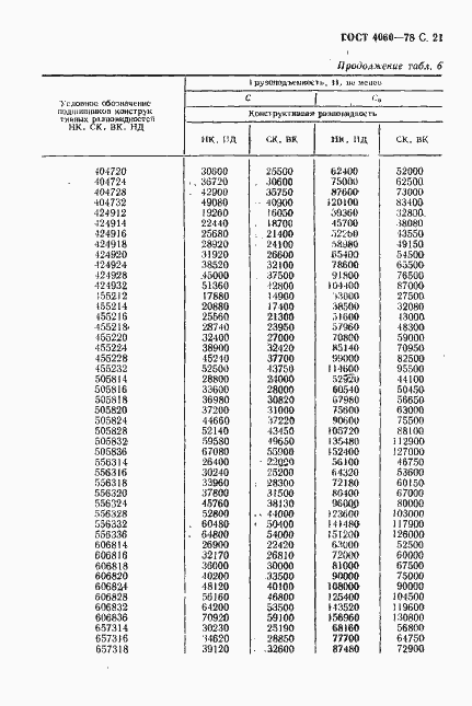
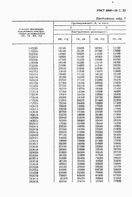
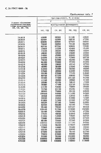
Настоящий стандарт распространяется на игольчатые роликовые подшипники с одним наружным штампованным кольцом нормальной и повышенной точности
Связи и замены
Заменяющий:
-
Взамен:
ГОСТ 4060-60
Изменения и переиздания
Список изменений:
№1 от (рег. ) «Срок действия продлен» №2 от (рег. ) «Срок действия продлен» №3 от (рег. ) «Срок действия продлен»
Описание стандарта
ГОСТ 4060-78 Подшипники роликовые игольчатые с одним наружным штампованным кольцом. Технические условия
Страницы стандарта


























