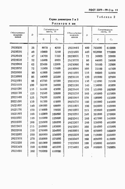
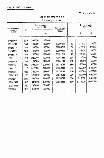
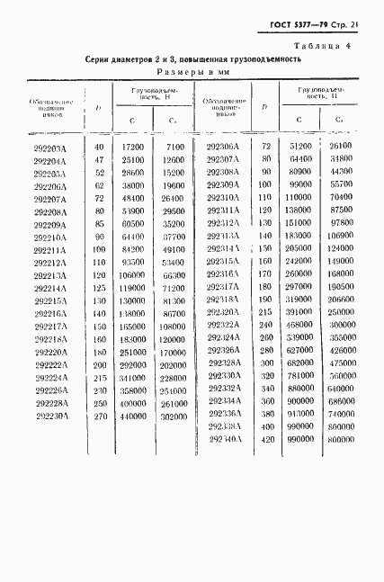
ГОСТ 5377-79 Подшипники роликовые радиальные с короткими цилиндрическими роликами без внутреннего или наружного кольца. Типы и основные размеры
ГОСТ
Скачать ГОСТ в PDF или DOC бесплатно
Основная информация
Обозначение:
ГОСТ 5377-79
Статус:
Действует
Тип:
ГОСТ
Название русское:
Подшипники роликовые радиальные с короткими цилиндрическими роликами без внутреннего или наружного кольца. Типы и основные размеры
Название английское:
Cylindrical roller bearings with short rollers without inner or outer ring. Types and basic dimensions
Даты и сроки
Дата издания:
09-01-83
Дата введения в действие:
01-01-80
Дата завершения срока действия:
-
Применение и описание
Область и условия применения:
Настоящий стандарт распространяется на радиальные роликовые подшипники с короткими цилиндрическими роликами без внутреннего или наружного кольца и на дорожки качения для них на валу или в корпусе
Связи и замены
Заменяющий:
ГОСТ 5377-2024
Взамен:
ГОСТ 5377-60
Изменения и переиздания
Список изменений:
№1 от (рег. ) «Срок действия продлен»
Описание стандарта
ГОСТ 5377-79 Подшипники роликовые радиальные с короткими цилиндрическими роликами без внутреннего или наружного кольца. Типы и основные размеры
Страницы стандарта
























