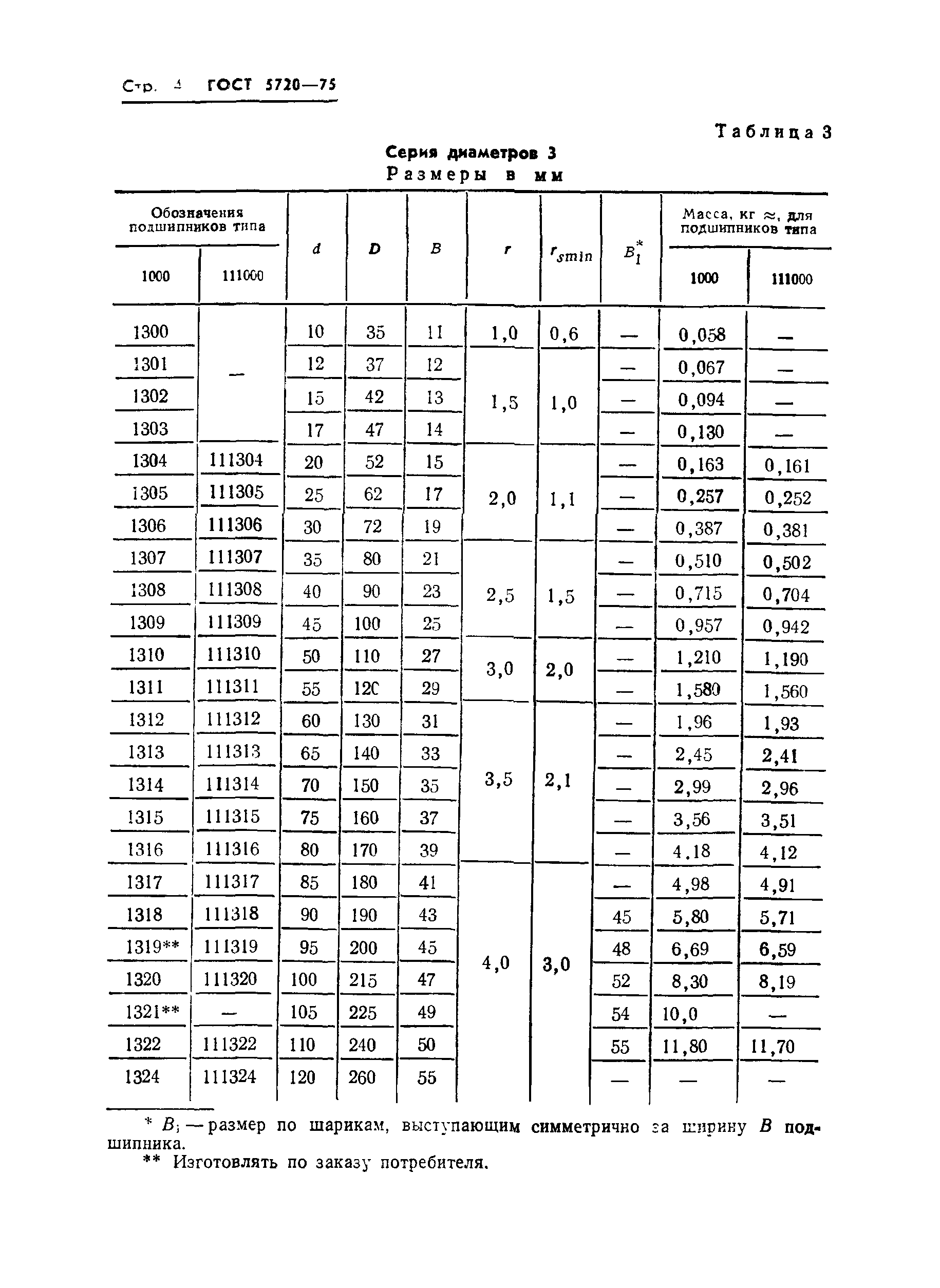
ГОСТ 5720-75 Подшипники шариковые радиальные сферические двухрядные. Типы и основные размеры
ГОСТ
Скачать ГОСТ в PDF или DOC бесплатно
Основная информация
Обозначение:
ГОСТ 5720-75
Статус:
Заменен
Тип:
ГОСТ
Название русское:
Подшипники шариковые радиальные сферические двухрядные. Типы и основные размеры
Название английское:
Spherical radial ball bearings. Types and boundary dimensions
Даты и сроки
Дата введения в действие:
01-01-77
Дата завершения срока действия:
01-01-91
Связи и замены
Заменяющий:
ГОСТ 28428-90
Взамен:
ГОСТ 5720-51
Описание стандарта
ГОСТ 5720-75 Подшипники шариковые радиальные сферические двухрядные. Типы и основные размеры
Страницы стандарта










