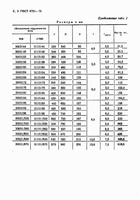
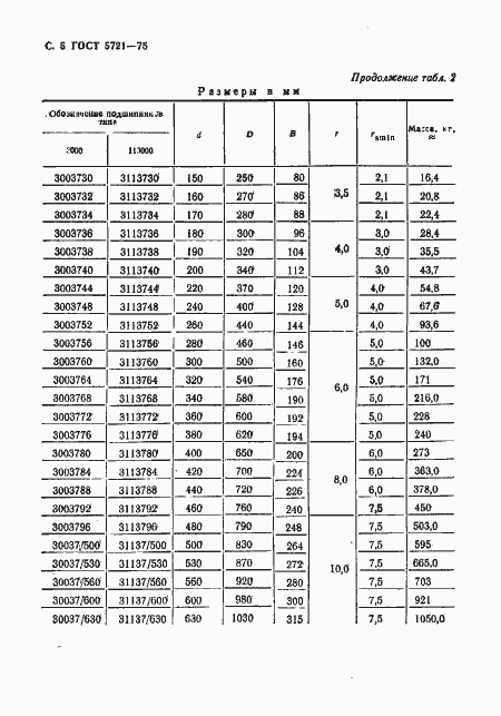
ГОСТ 5721-75 Подшипники роликовые радиальные сферические двухрядные. Типы и основные размеры
ГОСТ
Скачать ГОСТ в PDF или DOC бесплатно
Основная информация
Обозначение:
ГОСТ 5721-75
Статус:
Действует
Тип:
ГОСТ
Название русское:
Подшипники роликовые радиальные сферические двухрядные. Типы и основные размеры
Название английское:
Spherical radial double row roller bearings. Types and boundary dimensions
Даты и сроки
Дата издания:
07-01-92
Дата введения в действие:
06-30-77
Дата завершения срока действия:
04-01-23
Применение и описание
Область и условия применения:
Настоящий стандарт распространяется на двухрядные сферические радиальные роликовые подшипники
Связи и замены
Заменяющий:
-
Взамен:
ГОСТ 5721-57
Изменения и переиздания
Список изменений:
№1 от (рег. ) «Срок действия продлен» №2 от (рег. ) «Срок действия продлен»
Описание стандарта
ГОСТ 5721-75 Подшипники роликовые радиальные сферические двухрядные. Типы и основные размеры
Страницы стандарта















